您當前的位置:首頁 >> 技術 >> 技術常識 » 正文
高光三色汽車尾燈燈罩注塑工藝參數優化
  瀏覽次數:10412  發布時間:2020年05月12日 17:06:16
[導讀] 以高光三色汽車尾燈燈罩作為研究對象,使用Box-behnken設計(BBD)方法并通過Design-Expert軟件建立塑件總翹曲量及第一射收縮率與注塑參數的響應模型,并檢驗響應模型的精確度及可信度。
雷繼梅1    倪君杰2   黃瑤1   王釗1
1.江蘇大學材料科學與工程學院,江蘇鎮江  212013;2.鎮江成功科技有限公司,江蘇鎮江  2212028

摘要:以高光三色汽車尾燈燈罩作為研究對象,使用Box-behnken設計(BBD)方法并通過Design-Expert軟件建立塑件總翹曲量及第一射收縮率與注塑參數的響應模型,并檢驗響應模型的精確度及可信度。運用此模型進行注塑工藝參數優化,得到最小總翹曲量和最小第一射收縮率,應用最佳參數進行注塑過程模擬;進行試生產得到了變形量小、質量較好的產品。
關鍵詞:三色燈罩;注塑;數值模擬;工藝參數;優化設計

隨著社會的不斷發展,人們對汽車外觀和質量的要求越來越高。雙色或三色一次注射成型的產品外觀良好,并具有較高的產品精度及結構強度,因此在汽車行業中的應用越來越廣泛。為保證多色產品在不同顏色或不同材質相互作用之后,仍具有較好的外觀質量和使用性能,選擇最佳注塑工藝參數尤為重要[1]。在實際生產過程中,對于工藝參數的控制主要采用經驗參數及試錯的方法,極大浪費了生產時間及生產資源。數值模擬和參數優化設計技術的應用可通過參數組合優化提升產品性能和品質,大大縮短產品研制周期。Box-Behnken設計(BBD)是一種基于3水平的不完全因子設計方法,用于3~21因子二階多項式響應模型的建立。與中心復合和三級全因子設計等,響應面模型相比,BBD具有更高的效率;并且BBD不包括所有因子同時處于最低水平或最高水平的組合,避免了極端條件下試驗無法進行或者試驗結果不穩定的情況出現[2]。下面將采用BBD試驗設計方法,以高光三色汽車尾燈燈罩注塑為例,得出最佳工藝參數組合,以此工藝參數進行注塑模擬,并進行生產驗證,得到高質量產品。

1 材料與方法
1.1塑件材料選擇
車尾燈是高光三色塑件,其三維數據模型如圖1所示,尺寸為367.00mm×210.00mm×291.00mm,厚度均勻,大致為2.5mm。白色透明及紅色透明部分為透光部分,其表面質量要求較高,黑色不透明部分起裝飾及裝配作用。根據塑件的使用性能,指定材料為流動性好、透光性好的聚甲基丙烯酸甲酯(PMMA)。



1.2  注望順序選擇
塑件注射成型過程的翹曲變形及殘余應力是影響塑件服役壽命的關鍵[3]。由于多色塑件不同顏色部位的材質特性存在差異,在注射成型后及服役條件下易產生開裂,影響塑件的外觀質量及使用壽命,多色塑件不同顏色部位的翹曲變形更是導致塑件開裂的關鍵。

多色塑件注射成型時,不同顏色部位的結合方式主要有拼接式和覆蓋式。使用Moldflow2016初步對汽車尾燈每一色單獨進行注射成型模擬,發現黑色部分產生較大翹曲變形,如圖2所示。翹曲變形量達到14.95mm。為減小整個車燈的翹曲變形量,避免為裝配造成不便,采用包覆式注射成型,即紅色部分包覆黑色及白色部分注射成型。由于白色透明部分和黑色部分不相互接觸,且均與紅色部分接觸,所以紅色部分作為第二射注塑,白色部分及黑色部分作為第一射注塑。第1次合模,黑色及白色部分注塑完成后留在后模,進行第1次開模,但不進行頂出動作,后模旋轉180°,第2次合模,注射紅色部分,注塑完成后進第2次開模,頂出整個塑件。


1.3  注塑模擬
由于塑件黑色部分產生較大塑性變形,在注塑分析過程中主要分析黑色部分及與其相接的紅色部分變形程度。將黑色和紅色部分分別導入到Moldflow2016中進行2D網格劃分,并對網格進行修改使得網格匹配率達到85%以上,最大縱橫比為10。分別在2D網格的基礎上進行3D網格劃分,并導入同一個分析任務中,選擇重疊注塑分析,定義澆口位置及注塑順序。注塑分析程序選擇為“填充十保壓十重疊注塑填充十重疊注塑保壓”,即可進行分析。

1. 4  BBD試驗設計
使用Design-Expert軟件進行試驗設計、數據分析及優化。BBD和中心復合試驗(CCD)常用于擬合二階響應面模型,但是CCD所需的試驗更多、成本更高。試驗采用5因素3水平的BBD進行模擬,根據經驗,選取試驗變量為:A為第一射熔體溫度/℃,B為第二射熔體溫度/℃,C為模具溫度/℃,D為保壓壓力/MPa,E為保壓時間/s,由于塑件在注塑過程中不同部位的收縮不均是導致塑件產生翹曲變形的主要原因,所以將總體翹曲變形量(Y1)及第一射收縮率(Y2)作為響應值[4]。根據Moldflow材料庫中提供的PMMA材料參數設置范圍,設置各因素的水平,BBD試驗各因素及其水平設置如表1所示。

表1 試驗因素及水平

采用響應面回歸方法對BBD試驗數據進行分析,擬合式(1)所示為二階多項式響應模型[5]:


2結果分析
2.1  響應模型擬合
采用5因素3水平的BBD試驗設計,進行46組模擬仿真試驗,結果如表2所示。

表2
 
在表2的基礎上使用Design-Expert對試驗數據進行模型擬合,將失效率(p)大于0.05的非顯著因素排除,可得到如式(2)和(3)所示的方程式。





式(2)~(3)中,Y1和Y2分別為響應值總翹曲量和第一射收縮率。
為保證優化結果的準確性,可通過擬合度系數(R2)和方差分析對模型進行檢驗,表3為響應模型各評價指標值。

表3  響應模型精確及擬合度評價指標參數

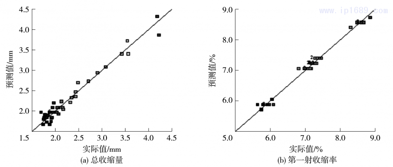
表3中顯示,所建立的響應模型F值分別為96.53和1864.64,均較大,遠大于1,這表明響應模型具有較高的顯著性。P值均小于0.0001,這表明響應模型在用于預測時,由于噪聲產生誤差的概率僅為0.01%。R2值為組內變化與總變化的比值,該值越接近于1,表明擬合程度越好,該值越低,代表著擬合程度越低,應不低于0.95。試驗中R2分別為0.9650和0.9886,表明擬合程度較好,表3中R2與預測擬合度系數(Pred R2)較為接近,實際值和預測值的圖解如圖3所示,表明該模型能夠很好地解釋該試驗。信噪比(Adeq Precisior)是有效信號與噪聲的比值,其值大于4,表示響應模型合理,該試驗的信噪比分別為40.651和33.501。綜上所述,Y1和Y2的響應近似模型均具有較高的精確度和可信度,能夠用于有限元模型預測。

2.2  參數優化
使用Design-Expert的優化模塊對試驗參數進行優化,將優化結果中的最佳參數組合作為試驗參數在Moldflow中進行注塑模擬,最佳參數組合及模擬所得結果如表4所示。由此可以看出預測值與實際值非常接近,這表明響應模型具有較高精確度和可信度。

表4
 
使用此最佳參數組合對黑色部分進行單獨注塑分析,即第一射熔體溫度242.39℃,模具溫度79.99℃,保壓壓力80.00MPa,保壓時間12.00s,如圖4所示,其翹曲變形量為12.120mm,較優化前降低了18.9%。



以表4中所示的參數進行試生產,汽車尾燈燈罩白色部分與黑色部分熔體溫度相同,即塑件白色部分與黑色部分熔體溫度242.39℃,紅色部分熔體溫度240.08℃,模具溫度79.99℃,保壓壓力80.00MPa,保壓時間12.00s,得到了質量較好的產品,實物如圖5所示。


3結論
a)通過BBD試驗設計,進行了高光三色汽車尾燈罩燈的工藝參數優化,得到了響應模型,且響應的預測值與實際值較為接近,表明響應模型具有較高的精確度和可信度。

b)采用最佳參數組合進行模擬,塑件黑色部分翹曲變形量為12.120mm,降低了18.9%。此時參數組合為第一射熔體溫度242.39℃,第二射熔體溫度240.08℃,模具溫度79.99℃,保壓壓力力80.00MPa,保壓時間12.00s。

c)通過參數優化設計技術,得到最佳工藝參數組合,相較于傳統的經驗方法及試錯法,有效節約了生產時間及生產材料,降低生產成本。



參考文獻
[1] 胡開元,王雷剛,黃瑤.注塑工藝參數對雙色注射成型影響分析[J].現代型料加工應用,2009,21(06):37-40.
[2] FERREIRA S L C,BRUNS R E, FERRERA H S ,et al. Box-Behnken design; An alternative for the optimization of analytical methods [J].Analytica Chimica Acta ,2007, 597(2);179-186.
[3] 王新宇,李征,谷俊峰等.工程用高聚物注塑成型制品服役應力優化設計[J].化工學報,2016,67(7):3040-3064.
[4] 楊雪,黃瑤,周甫芝等.雙色扁長塑件在注塑過程的變形控制[J]現代型料加工應用,2018,30(6):53-56.
[5] NAM S N,CHO H,HAN J,et al. Photo catalytic degradation acesulfame K: Optimization using the box-behnken design(BBD))[J]. Process Safety and Environmental Protection,2018,113:10-21.