吳連君
摘要:目的探究生長停滯特異性蛋白6(Gas6)、嗜鉻粒蛋白A(CgA)、脂蛋白相關磷脂酶A2(LP-PLA2)對冠狀動脈(簡稱“冠脈”)造影介入術后發生主要不良心血管事件(MACE)預測價值。方法回顧性分析2022年10月~2024年10月在本院行冠脈造影介入術的162例冠心病患者臨床資料,按術后1年內MACE發生情況將患者分為30例發生組與132例未發生組。檢測兩組入院后Gas6、CgA、LP-PLA2水平,采用多元線性回歸分析影響患者冠脈造影介入術后發生MACE的因素,采用受試者工作特征(ROC)曲線分析Gas6、CgA、LP-PLA2對患者冠脈造影介入術后發生MACE預測價值。結果發生組年齡比未發生組高,病變支數比未發生組多(P<0.05)。發生組Gas6水平比未發生組低,CgA、LP-PLA2水平比未發生組高(P<0.05)。多元線性回歸分析結果顯示,年齡、病變支數、Gas6、CgA、LP-PLA2均為冠心病患者冠脈造影介入術后發生MACE的影響因素(P<0.05)。ROC曲線分析結果顯示,Gas6、CgA、LP-PLA2單一及聯合檢測預測冠脈造影介入術后發生MACE的AUC(95%CI)分別為0.763(0.690~0.826)、0.811(0.743~0.869)、0.787(0.715~0.847)、0.896(0.838~0.938)。結論Gas6、CgA、LP-PLA2對冠脈造影介入術后發生MACE的預測價值較高,值得臨床推廣應用。
關鍵詞:冠心病;經皮冠狀動脈介入術;不良心血管事件;生長停滯特異性蛋白6;嗜鉻粒蛋白A;脂蛋白相關磷脂酶A2
冠狀動脈(簡稱“冠脈”)造影介入術屬于微創手術,主要是通過心導管技術將狹窄甚至閉塞冠脈疏通,從而改善心肌血流灌注[1]。然而,術后主要不良心血管事件(MajorAdverseCardiovascu-larEvents,MACE)發生風險較高,且在合并基礎疾病患者中術后MACE發生率可進一步升高[2]?,F階段臨床尚缺乏高特異性指標預測MACE發生。相關研究指出,動脈粥樣硬化參與冠心病發生發展過程;血清學指標檢測可在冠心病介入術后MACE發生預測中發揮重要作用[3,4]。生長停滯特異性蛋白6(growtharrestspecificprotein6,Gas6)屬于可溶性糖蛋白,可與其下游受體結合,使免疫抑制信號被激活,發揮免疫作用,抑制炎癥,從而抗動脈粥樣硬化[5]。嗜鉻粒蛋白A(ChromograninA,CgA)屬于嗜鉻蛋白家族,心肌細胞可分泌CgA并參與心肌細胞代謝過程,而且CgA表達水平于腦鈉素水平呈正相關[6]。脂蛋白相關磷脂酶A2(Lipoprotein-associatedphospho-lipaseA2,LP-PLA2)屬于磷脂酶超家族,可使促炎介質釋放,加劇機體炎癥,破壞心肌細胞膜完整性,促進冠脈粥樣硬化[7]。當前臨床關于Gas6、CgA、LP-PLA2與心血管疾病的關系研究較多,但關于三者與冠脈造影介入術后發生MACE的預測價值研究報道較少。為此,本研究探究Gas6、CgA、LP-PLA2對冠脈造影介入術后發生MACE預測價值,旨在為臨床心血管疾病診療提供理論依據?,F報道如下。
1資料與方法
1.1一般資料
回顧性分析2022年10月~2024年10月在本院行冠脈造影介入術的162例冠心病患者臨床資料。納選標準:(1)經冠脈造影證實為冠心病,且至少有一支冠脈狹窄≥75%;(2)年齡超過18歲;(3)均行冠脈造影介入術;(4)術后規律服藥,隨訪1年及以上;(5)資料齊全。排除標準:(1)存在心肌炎、先天性心臟病等其他心臟疾病;(2)存在活動性出血、全身感染性疾病;(3)有嚴重肝腎功能不全或惡性腫瘤;(4)合并腦血管疾病或自身免疫性疾病。
1.2方法
(1)資料收集:收集患者性別、年齡、吸煙、飲酒、合并糖尿病、合并高血壓、合并高脂血癥、冠心病家族史、病變支數、收縮壓、舒張壓、支架長度等資料。(2)Gas6、CgA、LP-PLA2水平檢測:患者入院后在規定時間內收集5mL靜脈血,經10min離心(轉速1000r/min,半徑10cm)后取上清液待檢。血清Gas6、CgA、LP-PLA2水平采用酶聯免疫吸附法測定,Gas6所用試劑盒購自上海梵態生物科技有限公司(貨號FT-P32279R),CgA所用試劑盒購自上海科博瑞生物科技有限公司(貨號KBR-hlk1017),LP-PLA2所用試劑盒購自天津科維諾生物科技有限公司(貨號KWN14372)。(3)隨訪:冠脈造影介入術后通過門診、電話等方式對患者進行定期隨訪,直至術后1年或發生終點事件(即發生MACE)為止。MACE定義為再發急性心肌梗死、復發心絞痛、心律失常及需再入院行血運重建。
1.3統計分析
采用軟件SPSS25.0分析數據。用n描述計數資料,行χ2檢驗;用x-±s描述計量資料,行t檢驗;影響因素采用多元線性回歸分析;繪制受試者工作曲線(Receiveroperatingcharacteris-ticcurve,ROC)分析Gas6、CgA、LP-PLA2對患者冠脈造影介入術后發生MACE預測價值,計算曲線下面積(AreaunderCurve,AUC)。檢驗水準α=0.05。
2結果
2.1MACE發生情況
隨訪1年后結果顯示,162例患者中有30例(18.52%)發生MACE(發生組),其中3例(1.85%)再發急性心肌梗死、15例(9.26%)復發心絞痛、10例(6.17%)嚴重心律失常及2例(1.23%)血運重建;132例(81.48%)未發生MACE(未發生組)。兩組性別、吸煙、飲酒、合并糖尿病、合并高血壓、合并高脂血癥、冠心病家族史、收縮壓、舒張壓、支架長度相比無差異(P>0.05);發生組年齡比未發生組高,病變支數比未發生組多(P<0.05),見表1。
表1兩組基線及臨床資料對比[n,(x-±s)]
2.2兩組Gas6、CgA、LP-PLA2水平比較
發生組Gas6水平比未發生組低,CgA、LP-PLA2水平比未發生組高(P<0.05),見表2。
表2兩組Gas6、CgA、LP-PLA2水平對比(x-±s)
2.3影響冠心病患者冠脈造影介入術后發生MACE的多因素分析
將上述有差異的指標(年齡、病變支數、Gas6、CgA、LP-PLA2)作為自變量,以是否發生MACE作為因變量,進行多元線性回歸分析,結果顯示年齡、病變支數、Gas6、CgA、LP-PLA2均為冠心病患者冠脈造影介入術后發生MACE的影響因素(P<0.05),見表3。
2.4Gas6、CgA、LP-PLA2單一及聯合檢測對冠脈造影介入術后發生MACE的預測效能
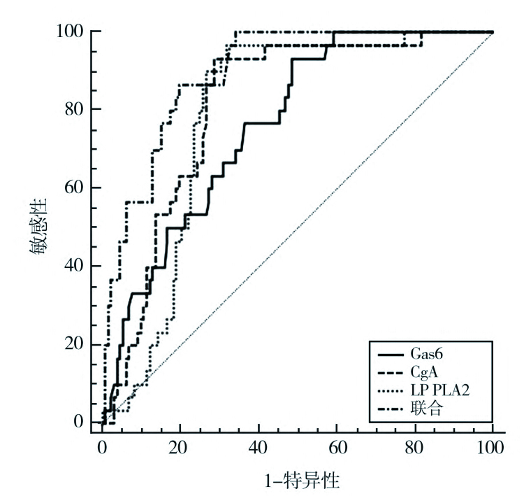
ROC曲線分析結果顯示,Gas6、CgA、LP-PLA2單一及聯合檢測預測冠脈造影介入術后發生MACE的AUC(95%CI)分別為0.763(0.690~0.826)、0.811(0.743~0.869)、0.787(0.715~0.847)、0.896(0.838~0.938),見表4、圖1。
表3影響冠心病患者冠脈造影介入術后發生MACE的多因素分析
表4Gas6、CgA、LP-PLA2單一及聯合檢測對冠脈造影介入術后發生MACE的預測效能
圖1Gas6、CgA、LP-PLA2單一及聯合檢測預測冠脈造影介入術后發生MACE的ROC曲線
3討論
隨著近些年醫學技術不斷發展,冠脈造影介入術在臨床心血管疾病診療中應用廣泛,而術后并發癥防治亦越來越受到臨床醫師重視。相關研究指出,年齡、病變支數等均為MACE發生的影響因素[8,9]。本研究中,發生組年齡比未發生組高,病變支數比未發生組多;多元線性回歸分析結果顯示,年齡、病變支數均為冠心病患者冠脈造影介入術后發生MACE的影響因素,與上述報道類似。分析原因,患者血管功能狀態隨其年齡增加而愈差,介入術后身體恢復愈差,故MACE發生風險較大;病變支數愈多,患者病變程度愈嚴重,愈不利于患者術后恢復,故MACE發生風險更高[10,11]。因此,積極探索可早期預測冠脈造影介入術后MACE發生的相關指標對患者預后改善的意義重大。
Gas6作為一種跨膜酪氨酸激酶受體家族的配體,可結合受體使酪氨酸激酶被激活,介導下游信號轉導通路,參與細胞多種病理生理過程[12]。蔣能美等[13]對確診頸動脈粥樣硬化的60例糖尿病患者進行回顧性研究,發現Gas6可參與動脈粥樣硬化發生發展過程,其水平上升與動脈粥樣硬化斑塊負荷下降有關。Salmi等[14]學者通過動物實驗發現,在膿毒癥小鼠中Gas6表達下降,通過上調Gas6水平可使核因子-κB信號傳導途徑受抑制,從而發揮血管內皮保護功能。趙曉靜等[15]研究指出,血清Gas6水平與急性心肌梗死患者心功能存在一定關系,其水平升高可能意味著心功能降低,檢測PCI術前血清Gas6水平對預測患者術后發生心力衰竭存在一定價值。本研究中,發生組Gas6水平比未發生組低,說明冠脈造影介入術后MACE發生患者Gas6水平下降,進一步證實Gas6水平下降會促進動脈粥樣硬化斑塊發生發展。本研究中,多元逐步回歸分析顯示Gas6為冠脈造影介入術后發生MACE的影響因素,提示Gas6與介入術后發生MACE存在一定關聯。這可能是因為Gas6可利用自分泌信號通路與旁分泌作用影響心臟功能,其水平下降可增強機體炎癥,促進動脈粥樣硬化形成及發展,從而導致介入術后MACE發生[16,17]。CgA作為特異性蛋白之一,其功能活性肽片段較短,具有潛在負性肌力作用,可阻滯交感神經,發揮抑制心肌細胞收縮作用[18]。張玉霞等[19]研究指出,CgA水平可參與心室重構過程,并與心功能分級呈正相關。Orth-Alampour等[20]研究報道,CgA可作為心血管疾病的可靠生物標志物,用于臨床診斷參考。本研究中,發生組CgA水平比未發生組高,說明冠脈造影介入術后MACE發生患者CgA水平升高。本研究進一步行多元逐步回歸分析,結果顯示CgA為冠脈造影介入術后發生MACE的影響因素,提示CgA與介入術后發生MACE存在一定關聯。這可能與CgA可抑制炎癥反應有關。LP-PLA2作為一種新型心血管疾病生物標志物,可結合并水解低密度脂蛋白,促進促炎介質釋放,參與動脈粥樣硬化形成及發展過程[21]。Verdoia等[22]研究指出,LP-PLA2水平與急性冠脈綜合征患者冠脈斑塊壞死核心比例呈正相關。Pantazi等[23]報道,在動脈粥樣硬化穩定斑塊中LP-PLA2表達較少,而在破裂或易損斑塊中其大量表達,LP-PLA2水平高低可預測心血管疾病不良事件發生。本研究中,發生組LP-PLA2水平比未發生組高,說明冠脈造影介入術后MACE發生患者LP-PLA2水平升高。本研究進一步行多元逐步回歸分析,結果顯示LP-PLA2為冠脈造影介入術后發生MACE的影響因素,提示LP-PLA2與介入術后發生MACE存在一定關聯。分析原因可能是Lp-PLA2水平升高可激活下游炎癥信號通路,刺激平滑肌細胞異常分化與重塑,加劇血管炎癥損害,從而導致介入術后MACE發生[24,25]。本研究進一步行ROC曲線分析以探究Gas6、CgA、LP-PLA2對冠脈造影介入術后發生MACE的預測價值,發現Gas6、CgA、LP-PLA2單一及聯合檢測預測冠脈造影介入術后發生MACE的AUC(95%CI)分別為0.763(0.690~0.826)、0.811(0.743~0.869)、0.787(0.715~0.847)、0.896(0.838~0.938),提示Gas6、CgA、LP-PLA2水平可能成為冠脈造影介入術后發生MACE的預測輔助指標,且三者聯合的預測價值更高。
綜上所述,Gas6、CgA、LP-PLA2對冠脈造影介入術后發生MACE的預測價值較高,值得臨床推廣應用。
參考文獻
[1] Rocha RV , Elbatarny M , Tam DY , et al. Commentary :Coronary artery bypass surgery and percutaneous coronary intervention : Optimal revascularization for the younger patient[J] . J Thorac Cardiovasc Surg , 2022 , 163( 2) : 657-658.
[2] Feng X , Guo Q , Zhou Y. Major Adverse Cardiovascular Events According to Thrombolysis in Myocardial Infarc- tion Flow Grade and Intervention Timing Before Percuta- neous Coronary Intervention in Non-ST-Segment Eleva- tion Myocardial Infarction [ J ] . Angiology , 2022 , 73 (2) :96-98.
[3] Hollenberg EJ , Lin F , Blaha MJ , et al. Relationship Between Coronary Artery Calcium and Atherosclerosis Progression Among Patients With Suspected Coronary Ar- tery Disease[ J] . JACC Cardiovasc Imaging , 2022 , 15 (6) :1063- 1074.
[4] Wu Z , Cheng C , Sun X , et al. The synergistic effect of the triglyceride-glucose index and serum uric acid on the prediction of major adverse cardiovascular events after cor- onary artery bypass grafting : a multicenter retrospective cohort study [ J ] . Cardiovasc Diabetol ,2023 , 22 (1) :103.
[5] 劉鐵紅,董琳琳, 高阿妮,等.生長停滯特異性蛋白6與 hs-CRP ,cTnI 對急性心肌梗死的診斷價值[ J] . 新疆醫科大學學報, 2021 , 44(12) :1346- 1350.
[ 6] Konsek- Komorowska SJ , P?czkowska M , Kolasińska - c'wik?a AD , et al. Chromogranin A ( CgA) as a biomark- er in carcinoid heart disease and NETG1/G2 neuroendo- crine neoplasms of the small intestine ( SI-NENs) relat- ed carcinoid syndrome [ J] . Med Clin ( Barc ) , 2022 , 159(2) :85- 89.
[ 7] Tian Y , Fan Y , Chen L , et al. Changes and significance of serum monocyte chemoattractant protein-1 and Lp-PLA2 in patients with hypertension and coronary heart disease[J] . J Pak Med Assoc , 2022 , 72(6) :1114-1117.
[8] 李兆,程功,王依陽. 急性心肌梗死患者PCI術后發生MACE的危險因素及其預測價值[ J] . 中國循證心血管醫學雜志, 2022 , 14(10) :1212- 1216.
[9] 郭浩, 齊茗. 高危急性冠脈綜合征患者 PCI 術后不良心血管事件發生的影響因素[J] . 解放軍預防醫學雜志 , 2019 , 37(11) :59-60.
[10] 張歡 ,周小燕 , 張露丹, 等. 老年冠心病患者PCI術后發生不良心臟事件的危險因素[ J] .昆明醫科大學學報 , 2019 , 40(8) :57-62.
[11] 周青,吳校林,潤琦. hs-CRP/ALB 對急性STEMI 急診PCI術后發生主要不良心血管事件的預測價值[J] . 山東醫藥 , 2020 , 60(7) :21-25.
[12] Li M , Ye J , Zhao G , et al. Gas6 attenuates lipopo- lysaccharide-induced TNF- α expression and apoptosis in H9C2 cells through NF-κB and MAPK inhibition via the Axl/PI3K/Akt pathway[J] . Int J Mol Med , 2019 , 44(3) :982-994.
[13] 蔣能美 ,管鑫娟 ,楊社珍.生長停滯特異性蛋白6和 C1q/腫瘤壞死因子相關蛋白4水平與2型糖尿病患者頸動脈粥樣硬化的關聯[ J] . 實用臨床醫藥雜志, 2023 , 27(5) :123- 127.
[14] Salmi L , Gavelli F , Patrucco F , et al. Growth Arrest- Specific Gene 6 Administration Ameliorates Sepsis- In- duced Organ Damage in Mice and Reduces ROS Forma- tion In Vitro[J] . Cells , 2021 , 10(3) :602.
[15] 趙曉靜 ,代江娜 ,趙秋蘭. 生長停滯特異性基因 6 蛋白可預測老年急性 ST 段抬高型心肌梗死患者 PCI術后發生心力衰竭[ J] . 內科急危重癥雜志 , 2022 , 28(6) :500-503.
[16] 郭長磊, 李雅釵,司澳洋,等.血清 Gas6 水平聯合CHA_ (2) DS_ (2) -VASc 評分對STEMI患者PCI術后短期發生MACE的預測價值[ J] . 中國現代醫學雜志 , 2023 , 33(7) :20-27.
[17] Liang Z , Yang Y , Wu X , et al. GAS6/Axl is associated with AMPK activation and attenuates H2O2-induced oxi- dative stress[J] . Apoptosis , 2023 , 28(3-4) :485-497.
[18] Rocca C , Grande F , Granieri MC , et al. The chro- mogranin A1-373 fragment reveals how a single change in the protein sequence exerts strong cardioregulatory effects by engaging neuropilin - 1 [ J ] . Acta Physiol ( Oxf) , 2021 , 231(4) :e13570.
[19] 張玉霞, 陳浩, 張鴻, 等. 血漿 Periostin蛋白,嗜鉻粒蛋白A ,可溶性 Sema 4D 水平與擴張型心肌病慢性心力衰竭病人心功能分級和心室重構的相關性分析[J] . 安徽醫藥, 2021 , 25(12) :2514-2518.
[20] Orth-Alampour S , Gayrard N , Salem S , et al. Preven- tion of vascular calcification by the endogenous chro- mogranin A - derived mediator that inhibits osteogenic transdifferentiation[J] . Basic Res Cardiol , 2021 , 116 (1) :57.
[21] Lv SL , Zeng ZF , Gan WQ , et al. Lp-PLA2 inhibition prevents Ang II - induced cardiac inflammation and fi- brosis by blocking macrophage NLRP3 inflammasome activation [ J] . Acta Pharmacol Sin , 2021 , 42 ( 12) : 2016-2032.
[22] Verdoia M , Rolla R , Gioscia R , et al. Lipoprotein as- sociated- phospholipase A2 in STEMI vs. NSTE-ACS patients : a marker of cardiovascular atherosclerotic risk rather than thrombosis [ J ] . J Thromb Thrombolysis , 2023 , 56(1) :37-44.
[23] Pantazi D ,Tellis C , Tselepis AD.Oxidized phospho- lipids and lipoprotein-associated phospholipase A2 ( Lp -PLA2 ) in atherosclerotic cardiovascular disease : An update[J] . Biofactors , 2022 , 48(6) :1257- 1270.
[24] 邵博一,婁明,馮春光,等.血清sST2 ,Lp-PLA2 與冠心病經皮冠狀動脈介入術后MACE事件發生的關系 [J] . 心腦血管病防治 , 2020 , 20(2) :211-213.
[25]梁海青,郭牧,張云強,等.脂蛋白相關磷脂酶 A2 預 測老年急性冠狀動脈綜合征患者介入治療后主要不良心血管事件 [ J ] .中 華老年心腦血管病雜志 , 2020 , 22(11) :1153- 1156.