摘要:分析了包裝用聚乙烯吹塑薄膜拉伸強度測定的不確定度,通過建立測量不確定度的數學模型,分析了重復性測試、拉力機校準、厚度測量、寬度測量等因素對于測量不確定度的影響,并對其進行評定,研究表明重復性測試對于不確定度結果的影響最大。
引言
聚乙烯吹塑薄膜是一種重要的食品包裝材料,以低密度聚乙烯樹脂(LDPE)、線性低密度聚乙烯樹脂(LLDPE)或其共混物為主要原料,經吹塑、分切加工得到的薄膜,其用途十分廣泛,目前國家針對這一產品制定了國家推薦性標準GB/T4456-2008《包裝用聚乙烯吹塑薄膜》[1],其中拉伸強度是最為重要的一項物理指標,可以作為不同材料的質量比較和產品驗收依據,還可以作為使用性能指標和工程設計依據[2]。
測量不確定度的評定是檢驗試驗室工作的一項重要組成部分,國家認可委發布的《檢測和校準試驗室能力認可準則》中對測量不確定度的評定有明確的要求[3]。不確定度的定義:與測量結果相關聯的一個參數,用以表征合理地賦予被測量值的分散性[4],不確定度越小,測量水平越高,測量結果使用價值越大[5]。為了研究包裝用聚乙烯吹塑薄膜中拉伸強度測試結果的分散程度,對于該項目進行試驗,并分析測量不確定度的來源,找出影響不確定度的主要因素,并對其進行分析計算給出擴展不確定度[6]。
1試驗部分
1.1儀器設備
XLW智能電子拉力試驗機(濟南蘭光機電技術有限公司);CH-1-ST臺式測厚儀(上海六菱儀器廠);游標卡尺(上海量具刃具廠有限公司)。
1.2測試方法
按照GB/T1040.3-2006《塑料拉伸性能的測定第3部分:薄膜和薄片的試驗條件》,制備2型試樣,寬度為10mm,以500mm/min的速度拉伸至斷裂。試樣拉伸過程中的最大拉伸應力即塑料薄膜的拉伸強度。
1.3試驗測試環境
按照GB/T2918-1998《塑料試樣狀態調節和試驗的標準環境》的規定,在恒溫恒濕實驗室進行,溫度:23℃±2℃,相對濕度:50%±5%。
1.4數學模型:
拉伸強度公式為:
σt=P/A=P/bd (1)
式中σt——拉伸強度/MPa
P——試樣斷裂時的拉力/N
A——試樣截面積/mm2
b——試樣寬度/mmd——試樣厚度/mm
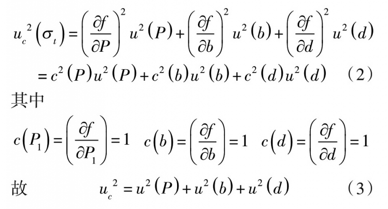
方差和傳播系數:
2測定不確定度的來源
在進行拉伸強度的試驗過程中,引入不確定度的來源包括:(1)拉力機重復測試帶來的不確定度;(2)尺寸測量過程中帶來的不確定度;(3)拉力機校準的不確定度;(4)其他因素。因試驗在恒溫恒濕環境中進行,故溫濕度對于結果的影響較小,可以忽略。試驗由同一人員操作完成,故人員差異可以忽略。
3不確定度的評定
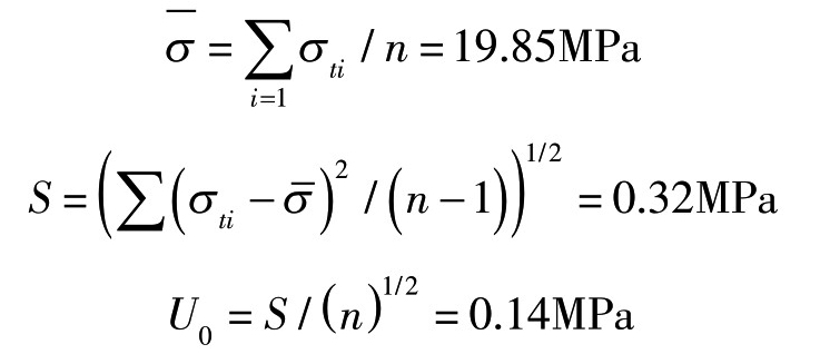
3.1測量不確定度的A類評定
在相同條件下,由樣品測量值的變動性對拉伸強度測量不確定所產生的貢獻,即對測量數據觀測進行統計分析[7],本次試驗中共測試5個試樣,其測試結果如表1所示。
表1試驗結果
A類標準不確定度U0
3.2測量不確定度的B類評定
3.2.1電子拉力校準引入的不確定度Uδ1
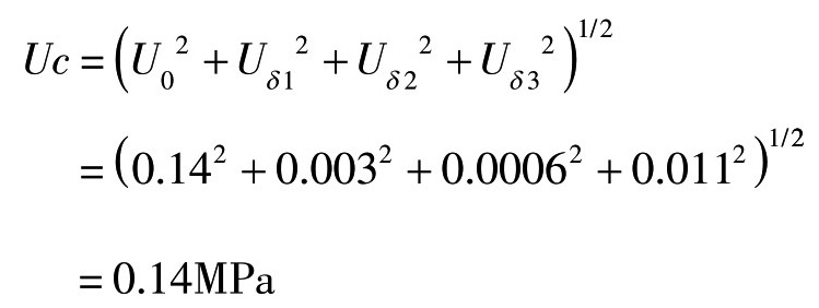
設備的檢定證書給出的準確度為0.5級,假設屬于均勻分布,由此產生的不確定度分量為Uδ1=0.005/(3)1/2=0.003
3.2.2測厚儀引起的不確定度Uδ2
已知儀器示值誤差是0.001mm,此次測量以均勻分布對待,故:Uδ2=0.001/(3)-2=0.0006
3.2.3游標卡尺引起的不確定度Uδ3
已知儀器示值誤差是0.02mm,此次測量以均勻分布對待,故:Uδ3=0.02/(3)-2=0.011
3.3合成標準不確定度Uc
A類和B類不確定度不相關,故:
3.4擴展不確定度U
U=kUc,取包含因子k=2,故U=2×0.14=0.28MPa
3.5測量不確定度報告
拉伸強度σt=(19.85±0.28)MPa,其中擴展不確定度U=0.28MPa。
4結束語
為了合理地計算不確定度,需要研究各參數的關聯程度,不能重復計算。通過對不確定度引入量的計算,可以看出重復性測試對測量結果不確定度影響最大。