吳法霖1,2,張天才2,王永鳳2,鄧賢明2,唐繼海2,林牧春2,孫寬1,張林3,倪士文4
(1.重慶大學低品位能源利用技術及系統教育部重點實驗室,重慶400044;2.西南技術工程研究所,重慶400039;3.上海交通大學材料科學與工程學院,上海200240;4.重慶建設雅馬哈摩托車有限公司,重慶400052)
摘要:目的 針對聚(3,4-亞乙基二氧噻吩)/聚(苯乙烯磺酸鹽)(PEDOT:PSS)薄膜的電導率低的問題,采用二次摻雜方法,提高薄膜電導率和品質因數(FoM),為制備可打印導電薄膜以及柔性光電器件表面導電層提供技術支撐。方法 采用多種無機酸分別與PEDOT:PSS溶液共混的摻雜方法,通過旋涂法在基底上制備透明導電薄膜。利用四點探針法、分光光度計測試系統,對摻雜處理后薄膜的方塊電阻、透光率、導電率和品質因數進行測試及分析。利用原子力顯微鏡(AFM)、X射線光電子能譜(XPS)和霍爾效應測試系統,對薄膜內部結構進行有理分析,總結了提升薄膜電導率的原因。結果 無機酸對薄膜電導率具有提升作用,其中硫酸的摻雜作用后,電導率可以由0.9S/cm提高到2216S/cm,FoM從0.03提高到33;通過焦磷酸摻雜處理后的薄膜,電導率可以提高到1623S/cm,FoM提高到40。結論 摻雜試劑的沸點、解離常數、退火溫度以及共混液的粘度都會影響薄膜的光電性能。解離常數越低,更容易解離出氫離子的摻雜試劑,能夠與PSS結合形成PSSH,促進PEDOT和PSS分離。沸點低和解離常數小的無機酸摻雜試劑,能夠有效提高薄膜的電導率,并能夠獲得高品質因數的薄膜。PEDOT:PSS通過無機酸改性處理后,減小PEDOT和PSS之間作用力的同時,提高薄膜內部PEDOT的相對含量,使PEDOT鏈變得線性,促進載流子傳輸,從而使薄膜的電導率提高。
關鍵詞:PEDOT:PSS;無機酸;薄膜;電導率;品質因數
在當今現代生活中,薄膜技術扮演著越來越重要的角色,自20世紀80年代以來薄膜技術也飛速發展,薄膜技術在實際生活中被廣泛應用,在科學研究領域對薄膜性能提升和改性處理也收獲眾多。其中透明導電薄膜由于其透明度高,導電率優異,能夠滿足在光電器件中應用要求,被大量研究者所關注[1]。在平板電腦、手機、觸摸屏、太陽能電池等設備中,都用到了透明電極[2]。摻錫的In2O3薄膜(ITO),由于其制備工藝簡單,制造成本低以及導電率優異等特點,被作為電極材料大量使用[3]。ITO在可見光范圍內透光率大于85%,作為透明導電材料使用能夠滿足多領域應用要求[4,5]。但是ITO薄膜在應用中也存在它固有的缺點,首先銦是地球上的稀有金屬,導致銦的價格暴漲[6];其次ITO生產工藝為蒸鍍工藝,基底必須為高熔點的硬質基板,若在應用過程中受外力使ITO薄膜發生形變,那么ITO薄膜極易斷裂。因此,研究者們在不斷尋求性能更加優越的新材料來代替ITO。
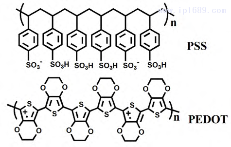
圖1.PEDOT和PSS化學結構式圖[7]
聚(3,4-亞乙基二氧噻吩)(PEDOT)化學結構如圖1所示,當PEDOT單獨使用時,它是一種良好的導體[8],但是PEDOT溶解性能很差,是一種疏水聚合物,在實際的應用過程中限制較多。為了使PEDOT在更多的領域得到應用,使PEDOT能夠形成溶解性強的液態,將其與聚對苯乙烯磺酸根陰離子(PSS)進行后期合成處理,能夠得到具有良好水溶性的PEDOT:PSS溶液[9]。PEDOT:PSS懸浮液可以通過多種方法使用,例如旋涂、刮涂和噴涂等方法,在柔性的PET或者硬質玻璃基底上形成淡藍色的透明薄膜。大量研究表明,PEDOT:PSS薄膜機械性能高,受外力不易破裂;透光率在可見光范圍內透光率大于85%[10,11];通過封裝處理,導電性能穩定,其方塊電阻在無氧條件下不發生較大變化。因此PEDOT:PSS懸浮液是眾多替代ITO材料中潛力最大的新型材料。但是PEDOT:PSS懸浮液單獨使用制備導電薄膜時,其導電率低于1S/cm,不能夠滿足應用需求,所以必須找到合適的方法來提高PEDOT:PSS薄膜電導率[12]。
目前應用較多的是二次摻雜極性溶劑來提高PDOT:PSS薄膜電導率,如異丙醇、赤蘚醇、丙三醇、乙二醇等都可以大幅提升薄膜的電導率,Zhang等人用85%甘油或65%山梨醇和PEDOT:PSS混合時,可以將PEDOT:PSS的電導率提高到?10S/cm[13]。Ouyang等人通過向PEDOT:PSS溶液里加入赤蘚醇將PEDOT:PSS薄膜電導率提高到155S/cm[14]。Ahlswede等人用二甘醇,二甲基亞砜(DMSO),山梨醇對PEDOT:PSS進行混合改性,最后使PEDOT:PSS薄膜的電導率由0.9S/cm到300S/cm[15]。Do等人用DMSO進一步提高PEDOT:PSS薄膜的電導率,他們用5%體積DMSO和13%體積異丙醇處理PEDOT:PSS薄膜,將薄膜電導率提高到了570S/cm[16]。對PEDOT:PSS導電薄膜后期處理也是可以提高薄膜電導率,Kim等人通過將6%體積比的乙二醇(EG)和PEDOT:PSS溶液混合之后通過旋涂成膜,再將薄膜侵入到EG溶液中,可以使薄膜的電導率提高到1418S/cm[17]。Sun等人提出了用甲磺酸對PEDOT:PSS薄膜進行后期處理,單層PEDOT:PSS導電薄膜透光率可達97%,電導率為1814S/cm[18]。綜上,目前通過二次摻雜處理的薄膜,導電率低于600S/cm,導電率仍然偏低。通過對制備好的薄膜后期處理,可以將導電率提高到1000S/cm以上,但是后期處理方法重復率低,增加制備工藝和生產成本,不利于工業中的大規模制備。
本研究主要采用多種無機酸分別與PEDOT:PSS溶液摻雜改性的方法,使用旋涂制膜法,獲得不同電導率的PEDOT:PSS薄膜。并采用測試儀器和表征手段對薄膜不同的物化性能進行了測試和分析,提升了薄膜的導電率和品質因數的同時,研究了無機酸在提升薄膜電導率方面起到的促進作用,為柔性薄膜制備提供理論基礎和技術支持。
1實驗
1.1基片清洗方法
(1)將大面積的聚對苯二甲酸乙二醇酯(PET)分割成15mm×15mm的基底待用,將基底放于專用固定清洗架上,將專用固定清洗架放于合適大小的燒杯中。
(2)將適量去離子水加入燒杯中,沒過支架上的PET,最后加入5%體積的洗潔劑。燒杯通過錫箔紙進行密封處理,用膠圈固定好錫箔紙。將裝有支架的燒杯緩慢放入超聲波清洗器中,超聲波清洗器清洗頻率設置為50kHz,清洗時長設置為時10分鐘。
(3)重復步驟(2)中的步驟三次后,隨后將丙酮倒入沒過PET,進行超聲波清洗,超聲波清洗頻率為40kHz時長10分鐘。最后倒出丙酮,使用易揮發的異丙醇對PET進行最后清洗。
(4)超聲波清洗步驟結束后,倒出異丙醇,用鑷子取出PET基底吹干,放入充滿氮氣的手套箱內部
待用。
1.2 PEDOT:PSS薄膜制備
(1)先將攪拌子放于試劑瓶中,用移液器將適量PEDOT:PSS溶液置于試劑瓶中,將對應量的無機酸通過移液器加入放有PEDOT:PSS的試劑瓶中,蓋好試劑瓶蓋,進行混合液的攪拌(3~4分鐘)。
(2)將手套箱內的PET取出,在紫外臭氧環境下預處理2分鐘,然后將PET基片放置于勻膠機上,通過真空泵吸附于轉盤中心處,用移液器將改性后PEDOT:PSS混合液滴加在PET基片上均勻覆蓋。設置勻膠機二級程序,先通過1500r/min轉速,甩膜50秒;再用4000r/min轉速,甩膜2秒。取下覆蓋混合液的PET基片放置于恒溫加熱板臺上,烘烤10min;烘烤結束后,自然冷卻至室溫,得到改性后的高導電率PEDOT:PSS薄膜。
1.3薄膜性能測試
(1)方塊電阻的測試:首先使用Keithley 2400 sourc emeter儀器,采用四點探針法,設置合適的測量范圍,測試薄膜的電阻R1和R2,方塊電阻的計算可由公式(1)得出:
(1)
其中F為修正因子,與R1和R2的大小有關。因本研究測試的R1和R2數值接近,取F=1。
(2)電導率的測試:電導率的測試主要是通過薄膜厚度和方塊電阻的測量,經公式計算得出。首先使用Dektak XT臺階儀,測試薄膜的厚度D;再使用島津UV-3800分光光度計,設置測試波長220nm~1100nm,測試精度1nm,測試可得薄膜的透光率T。電導率(? )計算公式可由公式(2)得出:
(2)
其中L1代表薄膜長度,L2代表薄膜寬度,R代表薄膜電阻,D代表薄膜厚度。因本研究制備的薄膜為正方
形樣品,因此L1=L2,電導率可由公式(2)簡化得到(3):
(3)
(3)霍爾系數測試:霍爾系數的測試采用德國Phystech RH2035霍爾效應測試儀器。首先輸入測試樣品厚度D,再選擇樣品類型為有機導電材料,然后設置磁場強度為0.43T,最后將樣品按要求放置。如圖2所示,樣品先放置于樣品支架,使四個探針接觸樣品膜的四個角,再使用卡扣將支架固定,最后將樣品支架按指定方向放入測試裝置中。測試可得到薄膜樣品的電阻率、霍爾系數、載流子濃度、載流子遷移率。
樣品固定 樣品支架固定 支架放入測試腔
圖2.霍爾系數測試過程
2.結果與討論
2.1 PEDOT:PSS薄膜電導率的提高
PEDOT:PSS薄膜的厚度越大,透光率更小,厚度的大小又與薄膜的方塊電阻有關,所以不能用單一個物理量來衡量薄膜的品質。為了更好的反應出薄膜的綜合性能,這里引入薄膜品質因數FoM。FoM物理意義是直流電導率(?dc)與光學電導率(?op)比值,表示符號?dc/?op。FoM可以綜合評價導電薄膜的性能,是評估透明導電薄膜的單一參數。FoM與導電薄膜透光率(T)和方塊電阻(Rs)的關系由(4)公式可得出[19,20]:
其中Zo代表自由空間的阻抗定義為377Ω。通常薄膜能夠用于大規模制備或者商業化使用,FoM必須大于35[21]。
如圖3(a)所示,在加入硫酸之前,PEDOT:PSS薄膜電導率只有0.9S/cm,FoM為0.03。隨著硫酸濃度增大,PEDOT:PSS薄膜的電阻減小,當硫酸濃度為0.08mol/L時,PEDOT:PSS薄膜的電阻減小到16Ω/sq,在550nm處的透光率為54.8%,電導率增加到2216S/cm。隨著硫酸濃度進一步增大,電導率減小,這是由于硫酸的增加使得溶液粘稠,成膜的質量下降,薄膜表面出現裂紋,使得薄膜的方塊電阻增大到25Ω/sq。測試結果顯示硫酸的摻雜可以將PEDOT:PSS薄膜的電導率提高四個數量級,但是相對于傳統的ITO薄膜透光率在90%以上而言,其薄膜的透光率仍然較低,不能達到應用要求。為了進一步提升薄膜的品質,采用粘度更低的H3PO4來提高PEDOT:PSS薄膜的性能。如圖3(b)所示,當H3PO4在0.8mol/L時,電導率達到最大1198S/cm。雖然H3PO4處理后的薄膜方塊電阻比H2SO4處理后的高,但是由于H3PO4處理后薄膜透光率仍能夠達到87%,所以H3PO4摻雜后薄膜FoM高于H2SO4摻雜的薄膜,FoM能夠達到39。為了更好的研究無機酸對薄膜電導率提升的原理,采用相同的制膜方法,分別用H3PO3、H4P2O7、HClO4、HNO3和HPF6對PEDOT:PSS進行了摻雜處理,摻雜后PEDOT:PSS薄膜電導率變化趨勢如圖4所示。在每種摻雜試劑最優條件下,測試薄膜厚度、方塊電阻以及透光率,結果如表1所示。
表1多種無機酸摻雜后PEDOT:PSS薄膜的性能數據
無機酸的加入能夠很好地提升薄膜的電導率和FoM。其中H2SO4對電導率提升最大,將電導率提升四個數量級達到2216S/cm,其次是H3PO3將電導率提升到2033S/cm。薄膜的品質因數受薄膜厚度、透光率和薄膜成膜質量的共同作用,H4P2O7和PEDOT:PSS共混后制得薄膜其透光率為82%,薄膜FoM能夠達到40,這種高品質因數薄膜具有較大的商用潛力。薄膜電導率的提高主要是由于方塊電阻的減小,加入0.08mol/LH2SO4后,方塊電阻降低了四個數量級,減小到了16Ω/sq。未摻雜PEDOT:PSS薄膜厚度為89nm,在H2SO4摻雜處理后,薄膜厚度增加到276nm,厚度的增加使得薄膜的透光率降到了55%。使用0.16mol/LHPF6摻雜之后,由于薄膜厚度為103nm,所以透光率仍然較高,能夠達到88%,但是薄膜方塊電阻為321Ω/sq,其電導率只能夠提升到302S/cm。
2.2無機酸化學性能對PEDOT:PSS薄膜性能的影響
為了更好的了解摻雜試劑對于薄膜性能影響的關鍵因數,調研了每種摻雜試劑的化學性能,如表2所示。從H2SO4、H3PO3、H4P2O7、H3PO4的摻雜處理后薄膜的電導率來看,電導率的提高隨著解離常數(PKa)值的增大而減小。因為PKa越小,摻雜試劑更能夠解離出氫離子,氫離子的解離能夠減小PEDOT和PSS的作用力,從而消除了PSS對PEDOT包裹,使彎曲的PEDOT導電鏈變得更加線性,導電更容易。電導率不僅受PKa的影響,還受摻雜混合液濃度的影響,例如HClO4的PKa值為-10,但是HClO4摻雜后薄膜電導率只能夠提高到760S/cm。這是因為摻雜HClO4后混合液濃度增大,使制備薄膜厚度增大(361nm),厚度與電導率成反比,使得電導率降低。HNO3和H2SO4具有相近的PKa值,但是對于PEDOT:PSS薄膜電導率的提升具有不同的效果,這與摻雜試劑沸點有很大關系。因為H2SO4的沸點為338℃,退火溫度為150℃,退火后的H2SO4仍然滯留在薄膜內部,能夠起到很好的電導率提升作用。HNO3的沸點為122℃,薄膜退火溫度為120℃,退火處理時部分HNO3迅速蒸發,電導率不能夠最大程度提高。因此,用酸的改性作用來提高PEDOT:PSS薄膜的電導率,優選沸點低和解離常數小的類型,效果最佳。
表2摻雜劑的化學性質和薄膜的烘干溫度
2.3 PEDOT:PSS薄膜電導率提升機理分析
為了更好的了解無機酸的摻雜對于PEDOT:PSS薄膜電導率的影響,選取了FoM最高的H4P2O7摻雜樣品和成膜質量較好的FoM低的HPF6摻雜樣品進行了AFM表征。結果如圖5所示,a、b和c為薄膜相位圖,d、e和f為薄膜形貌圖。在相位圖中,較亮和較暗相位分別對應于薄膜中導電的PEDOT和絕緣的PSS部分[22]。圖5a和b所示,含有PEDOT的導電顆粒和含有PSS的絕緣顆粒在原始PEDOT:PSS膜中均勻混合在一起,表面均勻度高。PEDOT鏈被PSS鏈包裹并卷繞成納米顆粒,均方根粗糙度(Rrms)為1.151nm。通過圖5e可以看出,經過HPF6摻雜的薄膜,明亮的區域面積增大,說明PEDOT形成聚集的狀態,其Rrms也增大到1.557nm。如圖5f所示,通過H4P2O7摻雜的薄膜PEDOT面積也增大,相位圖紋路更加清晰。如圖5c所示,纖維狀結構更加明顯,這就表明在經過摻雜處理后PEDOT和PSS發生了相的分離,PEDOT鏈發生了變化,從卷曲環狀結構變為線性的纖維狀結構,增加了導電的接觸點,促進了載流子的傳輸。
圖5a和d是PEDOT:PSS薄膜圖像,b和e是HPF6改性后薄膜圖像,c和f是H4P2O7改性后薄膜的圖像
如果在摻雜處理后PEDOT和PSS發生了分離,那么薄膜中的PEDOT與PSS的相對含量將發生變化。因此,對薄膜進行了XPS的測試。在XPS表征中結果中,位于166eV和172eV范圍內的特征曲線,是PSS中的硫原子的特征峰[23],而162eV和166eV之間的特征曲線,是PEDOT的特征峰[24]。因此通過計算峰的面積大小,可以反應出PEDOT和PSS之間的相對含量。如圖6所示,通過計算可知未經摻雜的PEDOT:PSS薄膜PEDOT和PSS峰值強度比值為0.34。通過HPF6摻雜處理的樣品,PEDOT和PSS峰值強度比為0.36;經過H4P2O7摻雜后的樣品,通過計算PEDOT和PSS之間的峰相對強度比為0.40。經過H4P2O7和HPF6摻雜后的薄膜,PEDOT的相對含量增加,說明經過摻雜處理PEDOT和PSS發生了分離,造成部分PSS脫離薄膜。同時AFM表征結果也表明摻雜薄膜表面纖維狀結構增加,其表面粗糙度變大。因此,可以說明無機酸的摻雜,使PSS和氫離子結合形成氫鍵作用,使被PSS包裹的PEDOT釋放出來,促進了PEDOT聚集和趨向線性結構變化,形成了纖維狀結構。
圖6對PEDOT:PSS薄膜、H4P2O7和HPF6摻雜處理后薄膜S2p掃描
為了驗證PSS結合能發生了變化,對樣品進行了氧原子XPS的掃描。PEDOT中氧原子在XPS測試結果中對應533eV的峰[25],PSS中氧原子在XPS掃描結果中對應特征峰在531.5eV位置[26]。如圖7所示,通過H4P2O7摻雜處理后的薄膜,PEDOT中標特征峰位置偏移到533.2eV位置;PSS中特征峰位置偏移到532eV位置。HPF6處理后的薄膜PEDOT對應的峰值沒有發生明顯變化,PSS中氧原子所對應的峰的位置變為532eV。綜上,通過HPF6和H4P2O7摻雜后的薄膜,PSS對應峰值都增大了0.5eV,而PEDOT對應峰值變化小??梢哉f明PSS與來自摻雜酸的氫離子結合改變了其結合能,PSS與氫離子結合會削弱PSS與PEDOT之間的庫倫作用力,促進了PSS和PEDOT發生相對分離,這個結果和S2p的測試結果保持一致。
圖7對PEDOT:PSS薄膜、H4P2O7和HPF6摻雜處理后薄膜O1S掃描
為了進一步了解電導率提升的原因,對摻雜后的薄膜進行了霍爾效應測試,結果如表3所示。通過摻雜劑處理,薄膜的電阻率下降,其中H4P2O7摻雜后薄膜的電阻降低了三個數量級,HPF6將電阻率降低一個數量級,電阻率的下降和表1中四點法測試的樣品方塊電阻結果保持一致。H4P2O7摻雜處理后的薄膜載流子濃度從3.2×1019cm-3增加到6.2×1021cm-3,HPF6摻雜后薄膜的載流子濃度從3.2×1019cm-3增加到5.4×1019cm-3,因此H4P2O7摻雜的樣品在電導率提高方面優勢更為明顯。載流子濃度的增加也意味著摻雜后薄膜的導電區域增大,說明了摻雜后PEDOT與PSS發生了分離,促進了PEDOT聚集,這與AFM表征結果保持一致。通過H4P2O7和HPF6摻雜處理的薄膜載流子遷移率由原來的0.4cm2/Vs增加到1.6cm2/Vs和1.9cm2/Vs,意味著載流子傳輸更容易,這與摻雜后薄膜PEDOT線性變化有關。摻雜處理后PEDOT從原來卷曲結構變為線性結構,線性結構的形成增加了PEDOT接觸點,因此增強了導電性能,這與XPS和AFM表征分析結果也保持一致。
表3薄膜霍爾效應測試結果
3.結論
1)采用H2SO4摻雜試劑,將PEDOT:PSS薄膜的電導率從0.9S/cm提高到2216S/cm;采用H4P2O7摻雜試劑,將PEDOT:PSS薄膜的品質因數從0.03提高到40,提升了PEDOT:PSS薄膜商用價值。
2)研究了多種無機酸對于薄膜光電性能的提升,摻雜試劑的PKa值、沸點以及粘度都會影響改性后PEDOT:PSS薄膜的光電性能,采用低沸點和低PKa值得摻雜試劑,能夠有效提高薄膜電導率和FoM。
3)表征結果顯示,PEDOT:PSS薄膜電導率的提升,一方面是無機酸的摻雜使PEDOT與PSS的分離,使導電的PEDOT集聚,增強了載流子濃度;另一方面,PEDOT和PSS相的分離使卷曲的PEDOT鏈得以線性變化,形成纖維狀結構,增加了導體的接觸點,使載流子傳導更容易,增強了載流子遷移率。
引用文獻
[1] 王瑞莉,沈誠,李戎,等.新型抗靜電整理劑ITO(摻錫氧化銦)[J].印染,2010,36(16),5.
[2] 劉世麗,辛智青,李修,等.導電材料在透明電極中的應用研究[J].功能材料與器件學報,2015,21(4),6.
[3] 朱小娟,李新貝.ITO透明導電薄膜的制備工藝研究[J].光電子技術,2008,28(3),203-206.
[4] 陳琳,張宇菲,馮洋,等.柔性透明ITO導電聚酰亞胺薄膜的制備及光電性能[J].塑料工業,2021,49(9),148-152.
[5] 李曉暉,宋凱強,叢大龍,等.高透明低發射率ITO薄膜的制備及其光電性能研究[J].表面技術,2020,49 (7),126-131.
[6] 張雨.銦鎵鋅氧化物薄膜制備及濺射靶材組織變化研究[D].鄭州:鄭州大學,2020: 1-4.
[7] 吳法霖.PEDOT:PSS柔性透明電極的研究以及應用[D].重慶:重慶大學,2015:1-2.
[8] Mukherjee Smita, Singh Rekha, Gopinathan Sreelekha, et al. Solution-Processed Poly(3,4-ethylenedioxythiophene) Thin Films as Transparent Conductors: Effect of p-Toluenesulfonic Acid in Dimethyl Sulfoxide[J]. ACS Applied Materials & Interfaces, 2014, 6 (20), 17792-17803.
[9] 崔穎,馬俊.PEDOT:PSS薄膜導電性能優化的研究進展.膠體與聚合物[J],2022,40(3),150-151.
[10] 李海濱.基于PEDOT:PSS彈性導電復合材料的構筑與應用研究[D].西安:西安理工大學,2020:1.
[11] 王明暉,宗艷鳳,史高飛,等.不同摻雜劑對PEDOT:PSS薄膜結構及其性能的影響[J].液晶與顯示,2013,28(6),824-827.
[12] 楊麗媛,魏雨,王鳳霞,等.不同溶劑對PEDOT:PSS導電薄膜性能的影響[J].中國印刷與包裝研究,2012,4(1), 62-66.
[13] Zhang Hong-mei, Ouyang Jian-yong. High-performance inverted polymer solar cells with lead monoxide-modified indium tin oxides as the cathode[J]. Organic Electron, 2011, 12 (11), 1864-1871.
[14] Ouyang Jian-yong, Chu Chi-wei, Chen Fang-chung, et al. High-Conductivity Poly(3,4-ethylenedioxythiophene):Poly(styrene sulfonate) Film and Its Application in Polymer Optoelectronic Devices[J]. Advanced Functional Materials, 2005, 15 (2), 203-208.
[15] Ahlswede Eril, Mühleisen Wolfgang, Hanisch Jonas, et al. Highly Efficient Organic Solar Cells with Printable Low-cost Transparent Contacts[J]. Applied Physics, 2008, 92 (14), 143307.
[16] Do Hung, Reinhard Manuel, Vogeler Henry, et al. Polymeric Anodes from Poly(3,4-ethylenedioxythiophene):poly(styrenesulfonate) for 3.5% Efficient Organic Solar Cells[J]. Thin Solid Films, 2009, 517 (20), 5900-5902.
[17] Kim Yong-Hyun, Sachse Christoph, L Michael, et al. Highly Conductive PEDOT:PSS Electrode with Optimized Solvent and Thermal Post-Treatment for ITO-Free Organic Solar Cells[J]. Advanced Functional Materials, 2011, 21 (6), 1076-1081.
[18] Sun Kuan, Xia Yi-jie, Ouyang Jian-Yong. Improvement in the Photovoltaic Efficiency of Polymer Solar Cells by Treating the Poly(3,4-ethylenedioxythiophene):poly(styrenesulfonate) Buffer Layer with Co-solvents of Hydrophilic Organic Solvents and Hydrophobic 1,2-dichlorobenzene[J]. Solar Energy Materials & Solar Cells, 2012, 97, 89-96.
[19] Hu L, Hecht D-s, Gruner G. Percolation in Transparent and Conducting Carbon Nanotube Networks[J]. Nano Letters, 2004, 4 (12), 2513-2517.
[20] Palumbiny Claudia-m, Schlipf Johannes, Hexemer Alexander, et al. The Morphological Power of Soap: How Surfactants Lower the Sheet Resistance of PEDOT:PSS by Strong Impact on Inner Film Structure and Molecular Interface Orientation[J]. Advanced Electronic Materials, 2016, 2 (4), 9.
[21] Vosgueritchian Michael, Lipomi Darren-j, Bao Zhe-nan, et al. Highly Conductive and Transparent PEDOT:PSS Films with a Fluorosurfactant for Stretchable and Flexible Transparent Electrodes[J]. Advanced Functional Materials, 2012, 22 (2), 421-428.
[22] Kim Nara, Kee Seyoung, Lee Seoung-ho, et al. Highly Conductive PEDOT:PSS Nanofibrils Induced by Solution-Processed Crystallization[J]. Advanced Materials, 2014, 26 (14), 2268-2272.
[23] Xia Yi-jie, Ouyang Jian-yong. Highly Conductive PEDOT:PSS Films Prepared Through a Treatment with Geminal diols or Amphiphilic Fluoro Compounds[J]. Organic Electronics, 2012, 13 (10), 1785-1792.
[24] Wu Fa-lin, Li Peng-chen, Sun Kuan, et al. Conductivity Enhancement of PEDOT:PSS via Addition of Chloroplatinic Acid and Its Mechanism[J]. Advanced Energy Materials, 2017, 3 (7), 1700047.
[25] Hsiao Yu-sheng, Whang Wha-tzong, Chen Chih-ping, et al. High-conductivity Poly(3,4-ethylenedioxythiophene):poly(styrene sulfonate) Film for Use in ITO-free Polymer Solar Cells[J]. Journal of Materials Chemistry, 2008, 18 (48), 5948-5955.
[26] Troughton Joel, Bryant Daniel, Wojciechowski Konrad, et al. Highly Efficient, Flexible, Indium-free Perovskite Solar Cells Employing metallic Substrates[J]. Journal of Materials Chemistry A, 2015, 3, 2050-7488.