您當前的位置:首頁 >> 技術 >> 管材與型材擠出 » 正文
國內外PVC管技術現狀及發展方向
  瀏覽次數:9454  發布時間:2020年04月10日 17:37:38
[導讀] PVC管材在耐腐蝕、耐寒等方面具有廣泛應用前景。本文分析了PVC類管材PVC-U、PVC-M和PVCO成型工藝,其中PVC-M和PVC-O應用前景更廣,是未來發展趨勢。在增塑方面,建筑材料與PVC結合提高了PVC塑性,拓展了PVC應用前景。國內企業在進行PVC生產中應加大產品研發和自覺進行環境保護。
 鞏曉強
(甘肅省定西市產品質量監督檢驗所,甘肅 定西 743000)

摘要:PVC管材在耐腐蝕、耐寒等方面具有廣泛應用前景。本文分析了PVC類管材PVC-U、PVC-M和PVCO成型工藝,其中PVC-M和PVC-O應用前景更廣,是未來發展趨勢。在增塑方面,建筑材料與PVC結合提高了PVC塑性,拓展了PVC應用前景。國內企業在進行PVC生產中應加大產品研發和自覺進行環境保護。

關鍵詞:PVC管材;混凝土;成型技術

0引言
自從1937年德國用合成聚氯乙烯制備出塑料材料后,PVC管由于具有耐寒、耐腐蝕、價格低廉等特征,被廣泛應用到排水、農田、礦山通風等領域。通過多年的技術發展,PVC管在市面上主要以PVC-U管、PVC-M管及PVC-O管為主。隨著國民經濟不斷發展對PVC材料需求量將持續增加,為此進行PVC管技術分析。

1 PVC管成型技術
1.1PVC-U管成型技術
PVC-U管也叫硬聚氯乙烯管材,是以聚氯乙烯樹脂為主,添加填充劑和穩定劑,經過成型工藝最終制備而成。根據PVC-U管形態可將起分為多孔型、中空壁型、實壁型以及發泡管型等。圖 1 為PVC-U管成型工藝流程。


由圖1可知PVC-U管制備經歷原料配方、原料混勻、造粒、擠出成型工藝以及產品后期處理工藝。PVC-U管常見穩定劑有含鉛鹽、有機錫鹽,其中鉛屬于重金屬,一旦使用該產品可能讓人們產生重金屬中毒,為解決這一問題,何陽[1] 研究了稀土穩定劑對PVC-U管動、靜熱穩定性、力學性能等指標影響。結果表明:所生產的PVC-U管表面光潔度性能優于含鉛PVC-U管;在熱穩定性方面,含稀土PVC-U管熱穩定性弱于含鉛材料,但性能滿足工業生產要求;增塑性方面,稀土添加效果是含鉛 4.3 倍;熱加工性能方面塑化時間、塑化溫度以及平衡扭矩分別占同配方鉛鹽的0.58、0.96、0.97,可見稀土穩定劑加入提高了PVC-U管性能。楊飛虎[2]采用堿式檸檬酸鑭作為PVC-U管穩定劑。首先采用檸檬酸和硝酸鑭制備堿式檸檬酸鑭,利用元素分析儀、差熱分析儀等設備進行穩定劑性能表征。實驗結果表明溫度 185℃、反應時間 57min條件下堿式檸檬酸鑭具有較強的抗變色能力,將其加入到PVC-U管中并添加硬脂酸鋅和季戊四,所制備PVC-U管熱穩定性極大提高。

PVC-U管擠出成型工藝直接影響到產品性能。毛玉[3]研究了擠出成型對管表明亮度影響,結果表明原料配方、加工工藝、擠出模頭以及模具定型段都對制品表面亮度有影響。配方對亮度影響權重比較高,這是因為制備PVC-U 管需要加入穩定劑、潤滑劑、抗沖改性劑以及增塑劑,而潤滑劑對材料表明亮度影響最大。通常潤滑劑含量增加表面亮度增加,但是由于潤滑劑不與高分子鏈發生交聯,過多添加會造成材料力學性能降低。PVC-U管加工過程中由于流動性與熱穩定性都比較差,造成加工溫度范圍比較小,過高、過低都不利于材料制備。圖2為PVC-U材料基礎工藝溫度曲線圖。


成型工藝中擠出模頭將PVC-U材料擠出成設計模型,通常熔體壓力25-35MPa,進入到壓縮階段對材料表明亮度影響最大。一般情況料流速度低、停留時間長以及配方降解時間短極易造成制品表面亮度差。尹作維[4]研究了 PVC-U材料擠出成型中常見問題有膠條粘附不牢固、膠條 變形、膠條外觀質量差等,這些問題直接影響到產品性能。孫紅占[5]為研究PVC-U制備過程中流變對成型影響采用哈普轉矩流變儀進行分析,結果表明助劑量、潤滑劑、溫度、鈦白粉量加入對PCV-U材料性能有顯著影響。


1.2 PVC-M管成型技術
PVC-M也叫改性聚氯乙烯管材,具有聚氯乙烯很好的強度也增加了材料韌性,解決了PVC材料易脆、沖擊韌性低問題。劉潔[6]研究了PVC-M材料影響因素,結果表明:PVC樹脂選擇能夠影響材料性能,通過實驗得到QS-1050P 作為材料樹脂能提高性能;穩定劑選擇對材料性能有顯著影響,實驗得出有機錫穩定劑能夠提高材料性能;增塑劑影響材料性能,實驗選用有機增強劑丙烯腈-苯乙烯共聚物復合增塑劑能提高性能。黃肖[7]為研究PVC/M-80混合流變性能,采用高壓毛細管流變儀進行表征。結果表明M-80 的含量增加,共熔體中平衡扭矩以及熔體溫度均有所下降, 當轉速在30-50r/min時,轉速影響熔體性能不顯著。為改進PVC-M管材抗沖擊性能楊成德[8]進行了試驗。試驗工藝如圖3所示。



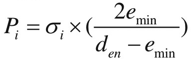
工藝中核心技術是外徑、壁厚計算關系:其中P表示試驗壓力,σ表示拉伸應力,den 表示試樣平均外徑,emin 表示壁厚最小值。PVC環向瞬間破環力計算方法為:00-2通過對工藝改造為企業降低了原料投入提高了產品質量。


1.3  PVC-O管成型技術
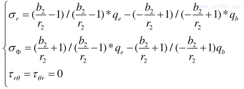
PVC-O也叫雙軸取向聚乙烯管道,被廣泛應用到管道建設中。為研究PVC-O材料理論力學,董維煜[9]建立了力學模型如圖4所示。

根據圖可構建PVC管擴張內應力計算如下:




為進行理論驗證,董維煜[10]進行了雙向拉伸自增強管材設備實驗。結果表明采用布袋式內壓方法可制備PVC-O管材,該方法具有操作簡單制備材料均勻性好。在力學性能方面提高了拉伸強度 32%。為更進一步制備更好PVC-O材料,劉濤[11]進行了PVC-O配方實驗。結果表表明采用正交實驗方法得到無機填料影響材料的斷裂拉伸率最大,材料抗沖擊強度受復合潤滑劑影響最大。

2 PVC管增韌性技術
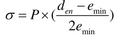
PVC管材由于抗沖擊韌性差、加工性能差直接影響 到應用環境。由于具有耐腐蝕性能,被廣泛應用到建筑行業中。陳宗平等[12,13]針對當前高強度混凝土因隨著強 度增加塑性變形能力降低,從經濟角度出發研究了PCV管在混凝土中的應用。研究結果表明混凝土中加入PCV 管在柱件破壞前是以X型交叉出現裂縫同時滯回曲線飽滿,強度降低較慢與混凝土相比性能更好。按照公式
進行計算,結果表明PVC安全性能高于混凝土30%。

王新宗等[14]分析了短切玄武巖纖維和PVC管對混凝土承載能力影響。采用螺旋螺旋箍筋的鋼筋玄武巖纖維混凝土中加入PCV管,采用短柱軸心受壓試驗進行試驗表征。結果表明加入PCV材料后承載能力提升45.7%,塑性強度增強。薛建陽等[15]研究了PVC管仲添加混凝土柱,利用有限元法進行仿真。結果表明PVC管徑高D/h在0.5附近是承載能力最佳。
PVC具有塑性強度不高,然而結合混凝土后。表現出較高的塑性性能,增強了混凝土力學性能,為PCV管材應用提供了更多通道。

3 PVC管材發展
當前PVC材料由于聚氯乙烯材料化學鍵作用導致所制備的管材在塑性方面比較弱,同時在熱穩定性方面還存在問題,因此需要添加熱穩定劑、增塑劑等。常規添加劑中加入鉛鹽,該物質在應用中可能會造成重金屬中毒。目前已進行稀土添加劑研究,從試驗效果分析,性能優于鉛鹽,無鉛鹽是PVC管材發展趨勢。隨著建筑行業不斷發展,PVC材料將由傳統的管道利用逐步拓展到混凝土結構中增強塑型性能。


4結語
當前國內生產PVC材料企業主要分布在北方地區,目前所生產的產品質量差異性較大,而偽劣產品仍在市場中流動。隨著中國制造的推出,對PVC材料的需求可能增加,企業應投入更多的技術研發出具有較高韌性的PVC管材;同時企業應按照政府要求不能以犧牲環境為代價進行產品生產,由于PVC管材制備中涉及污染源,企業應按照標準進行污染控制。

參考文獻
[1]何陽,劉穎,張衛勤. PVC-U用稀土穩定劑的性能研究[J]. 中國塑料,2005(4):70-74.
[2]楊飛虎,周洪榮. 耐酸群青在PVC-U門窗異型材中的應用[J]. 中國塑料,2017(12):113-116.
[3]毛玉,楊寧,萬仕成. 影響U-PVC擠出制品表面亮度的因素分析[J]. 塑料工業,2012,40(03):81-83.
[4]尹作維. PVC-U異型材膠條共擠生產中常見問題及解決辦法[J]. 新型建筑材料,2013,40(10):71-72.
[5]孫紅占,李迎.哈普轉矩流變儀在PVC-U成型加工中的作用[J]. 中國塑料,2014,28(12):73-78.
[6]劉浩,張新華,張樺. 影響PVC-M管材料性能的主要因素[J]. 現代塑料加工應用,2013,25(6):28-31.
[7]黃肖,皮紅. PVC/M-80 共混體系的流變性能研究 [J]. 中國塑料,2013,27(4):52-56.
[8]楊成德. 大口徑給水用抗沖改性PVC-M管材生產配方工藝研究[J]. 塑料制造,2016(Z1):77-84.
[9]董維煜,任冬云,張博. 布管法生產PVC-O管材的理論計算與實驗[J]. 塑料,2009,38(4):76-78.
[10]董維煜,吳大鳴,任冬云. 布管擴脹法生產PVC雙向拉伸自增強管材設備與實驗[J]. 塑料,2009,38(6):106-108.
[11]劉濤,劉穎,吳大鳴,許紅. 雙軸取向聚氯乙烯(PVC-O)管材的專用配方[J]. 塑料,2011,40(05):83-86.
[12]陳宗平,楊陽. 螺旋箍筋PVC管聯合約束混凝土軸壓短柱試驗研究[J]. 建筑結構,2019,49(02):43-48.
[13]陳宗平,柯曉軍,陳宇良,薛建陽. 內配PVC管約束高強混凝土短柱滯回性能及抗剪承載力計算[J]. 建筑結構,2017,47(21):46-51.
[14]王新忠,李傳習,周維,謝合良,凌錦育. PVC管約束鋼筋玄武巖纖維混凝土(BFRC)短柱軸心受壓試驗研究 [J]. 硅酸鹽通報,2017,36(07):2430-2435.
[15]薛建陽,李海博,翟磊,柯曉軍,鄭文豪,門博宇. 反復荷載下內配PVC管約束高強混凝土柱受力性能及其影響因素分析[J]. 西安建筑科技大學學報(自然科學版),2016,48(01):24-28.