摘要:針對在塑料流延模具設計過程中部分參數需要通過實驗才能夠確定的問題,運用有限元分析軟件Polyflow,通過仿真分析得到了需要反復實驗才能夠確定的模具結構參數數值,同時經過實驗驗證了仿真分析所確定的模具結構參數數值的合理性,得到合理的模具結構,保證了流延膜的產品質量。結果表明,使用CAE技術對塑料流延模具進行輔助設計,可以保證模具設計的質量,縮短開發周期,降低開發成本。
關鍵詞:流延模具;仿真分析;Polyflow 中圖分類號: TP391.7 文獻標識碼:A
隨著科學技術的不斷發展與進步,近年來,塑料制品在國民經濟各個領域中的應用越來越廣泛, 并開始逐步替代部分金屬與非金屬制品[1-3]。塑料模具、成型工藝和塑料性能對于塑料產品的質量有著至關重要的影響[4-5]。傳統的模具設計制造方法依賴設計人員的經驗進行模具設計,設計完成的模具在裝配后需要經過反復試模與修模,才能夠正式投入生產,該方法具有成本高、開發周期長等缺點,極大地制約了企業的發展?,F代塑料行業對于產品質量、產品精度和生產效率的要求越來越高,所以傳統的模具設計制造方法已經無法適應現在的市場要求。運用CAE技術對模具進行輔助設計可以有效節約成本,縮短開發周期,從而提高企業的市場競爭力,目前已成為模具技術發展的新方向[6-8]。本實驗運用Polyflow分析軟件對塑料流延模具進行輔助設計,得到了需要反復實驗才能夠確定的模具結構參數數值,同時通過實驗證明了仿真分析所確定的模具結構參數數值的合理性,保證了模具設計的質量。
1.流延模具的選擇與設計計算
1.1.流延模具的選擇
流延膜制品最重要的質量要求是厚度均勻、表面平整,要達到這兩點要求需要在設計流延模具時保證物料在流延膜的整個寬度上流動速度均等。目前,應用最廣泛的流延模具流道類型有以下4種,分別是T形流道、魚尾形流道、螺桿分配式流道和衣架式流道。衣架式流道因其流道酷似衣架而得名,如圖1所示,衣架式流道不但結構上比螺桿分配式流道簡單,而且具有T形流道與魚尾形流道兩者的長處。衣架式流道和T形流道相比,結構上都采用了圓筒形槽,其作用是使物料穩壓,同時衣架式流道的圓筒形槽截面積較小,縮短了物料流經其中的停留時間,這對熱穩定性差,或流變性對時間有依賴關系的樹脂材料成型尤為適宜。為了解決厚度不勻的問題,衣架式流道采用了魚尾形流道的扇形流道結構,并同時將流道的擴張角擴大至160°~170°,進而縮小了流延模具的尺寸。衣架式模具的歧管直徑沿流動方向遞減,并且與模唇橫截面形成一定的傾角,這就形成了有利于物料沿模唇幅寬方向的均勻分配,使膜的厚薄均勻性更加趨于完善。目前,隨著CAD/CAM技術的飛速發展與高精度數控機床的廣泛應用,使得結構雖然復雜,但是優點眾多的衣架式流道的加工變得越來越方便,應用也變得越來越廣泛。
圖1 衣架式流道
1.2.流延模具流道的設計與計算
衣架式流道主要由歧管區、扇形區和模唇區3 部分組成。衣架式流道的設定參數為:(1)流延膜的目標產量G(kg/h);(2)模具口模的設置半寬B(cm);(3)配方物料的密度ρ(g/cm3);(4)模具口模的設置厚度h(cm);(5)物料的非牛頓指數n。根據圖1與相關文獻[9],得到以下相關計算公式。
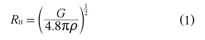
入口孔半徑RH,通過目標產量和物料的密度可得計算公式:式1
中心歧管最大半徑R0,依據物料在歧管內一分為二的原則可得計算公式:式2
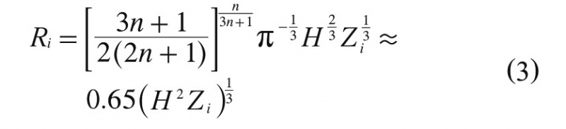
對建立的衣架式流道模型進行分析,得到流道內部扇形曲線上任一點i的歧管半徑Ri的函數表達式:式3
式中,Zi是任一點i在以扇形曲線左端為原點O的水平軸線上的距離值(見圖1),人為設定。
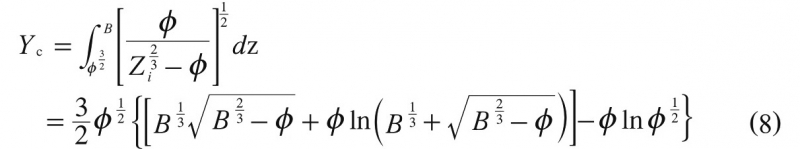
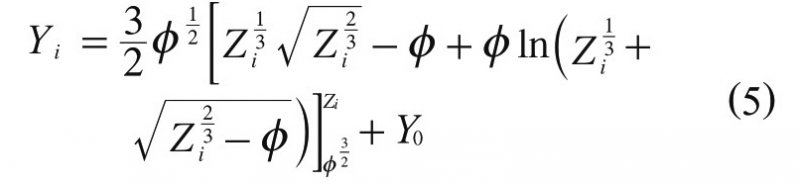
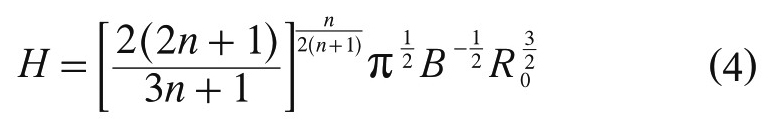
因此推導出扇形區的槽高H:式4
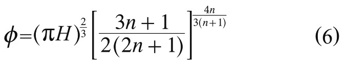
經置換法積分后可得到曲線上任意點i的高度Yi值:式5、式6
當Z=Ø時,Yi=0,此時得到穩壓區的高度值:式7
扇形區中心的最大高度Yc可以通過定積分求得:式8
本設計的物理及幾何參數為:目標產量G為5kg/h,口模半寬B為7.5 cm,物料密度ρ為0.92 g/cm3,口模厚度h為0.1 cm,物料非牛頓指數n為0.25,通過計算,得到結果如下:
入口孔半徑為RH=0.6003 cm,中心歧管最大半徑為R0=0.4245 cm,扇形區槽高為H=0.1889 cm,穩壓區高度為Y0=0.1764 cm,流道的扇形區中心軸處最大高度值為Yc=5.2454 cm,若將口模的半寬B分成10份,則每一坐標點(Zi,Yi )所對應的歧管孔半徑值Ri如表1所示。
表1 坐標點對應的歧管孔半徑值 cm
1.3流延模具模口的設計
流延模具的下模口可上、下運動來完成??陂g隙的微調,在上??诤拖履?诰_有一橫向凹槽, 貫通整個平縫模寬度,如圖2所示,此槽目的在于使成型區中的壓力均衡,從而使物料流速均勻。
圖2 模具模口

1-上模板;2-上??冢?-凹槽;4-下???;5-下模板
1.4仿真分析確定流延模具參數數值
流延模具的模唇區長度是模具設計中的一個結構尺寸,其對于流延膜擠出質量有重要的影響, 雖然模唇區長度有相關公式:
式中:q0—物料流量;ta—熔體應力松弛時間。
但是熔體應力松弛時間由于受很多因素影響, 如產量、壓力、流速、流延膜規格、物料的黏度和密度,很難確定,因此不能單靠簡單的計算,而是需要通過經驗與試驗來獲得優化值,這就要對模具進行大量的試模與修模,從而花費很多時間與資金。
根據設計、計算的結果和人為設置模唇區的長度建立流道的三維模型,如圖3所示,運用Polyflow 分析軟件對建立的流道三維模型進行仿真分析,根據仿真結果判斷模唇區長度是否合理。通過仿真分析發現模唇區長度過長或過短都會使模具出口處的流延膜發生比較嚴重的翹曲變形,如圖4、圖5 所示,從而影響流延膜的質量,經過多次三維建模與仿真分析后,得到了比較理想的結果,當模唇區長度L=3 cm時,流延膜在模具出口處沒有發生比較明顯的翹曲變形,如圖6所示,可以保證流延膜的質量。
圖3 流道三維模型
圖4 模具出口處流延膜形狀(L =3.3cm)
圖5 模具出口處流延膜形狀(L =2.7cm)
圖6 的模具出口處流延膜形狀(L =3cm)
2.流延模具的建模與仿真分析
2.1.流延模具的建模
根據設計、計算與仿真獲得的結果建立流延模具流道的平面示意圖、流延模具流道的三維模型和流延模具的三維模型,如圖7、圖8、圖9所示。
圖7 流延模具流道平面示意圖
圖8 流延模具流道三維模型
圖9 流延模具三維模型
2.2流延模具的仿真分析
運用Polyflow分析軟件對模具流道進行仿真分析,如圖10所示,模具流道內的物料從圓形逐漸過渡到平縫形,在其出口橫向全寬方向上,物料流速均勻一致,在流道內部物料沒有滯留現象發生。在模具出口處物料速度分布均勻,保證了流延膜的質量,如圖11所示。
圖10 模具流道內物料速度
圖11 模具出口處物料速度
3.實驗
3.1.搭建實驗裝置
對設計完成的流延模具進行加工,得到如圖12 所示的流延模具實物圖。
圖12 流延模具實物圖
搭建流延模具實驗裝置,如圖13所示,從流延模具擠出的流延膜溫度較高,由兩輥壓光機進行壓光、冷卻定型,并可調整流延膜的厚度。
圖13 流延模具實驗裝置
3.2.實驗和實驗結果分析
選擇聚乙烯作為實驗材料進行實驗,并加工厚度為0.12 mm的流延膜,得到流延膜實物如圖14所示。
圖14 流延膜實物圖
對實驗得到的流延膜選取30個位置進行厚度測量,得到流延膜厚度測量圖,如圖15所示,加工得到的流延膜厚度最高為0.128 mm,最低為0.111mm,其正負偏差小于8%,滿足流延膜厚度規范。
圖15 流延膜厚度測量
4結語
運用有限元分析軟件Polyflow進行塑料流延模具的設計與仿真分析,可以得到以往需要通過反復實驗才能夠確定的影響流延膜質量的模具模唇區長度,因此,這種模具設計方法不僅可以縮短模具的開發周期、節約開發成本,而且通過仿真分析還可以驗證模具結構設計的合理性,有效地保證模具設計的質量。(文章來源于網絡)