您當前的位置:首頁 >> 技術 >> 注塑 » 正文
立方體狀SrTiO3粉體/聚偏氟乙烯電介質復合薄膜的儲能性能
  瀏覽次數:6923  發布時間:2023年03月14日 10:11:45
[導讀] 高工作場強、高儲能效率的電介質儲能材料對提高電力設備的性能、減小電力設備體積具有重要影響。采用混合堿法制備出立方體狀SrTiO3粉體作為陶瓷填料,采用聚乙烯吡咯烷酮(PVP)表面包覆改性對立方體狀SrTiO3粉體進行表面處理,利用流延法制備出了均勻的聚偏氟乙烯(PVDF)電介質復合薄膜。
 劉少輝*1, 2,王嬌1, 2,王菲菲1, 2, 王遠1

(1.河南工程學院,材料工程學院,河南省電子陶瓷材料與應用重點實驗室,鄭州,451191;2. 河南工程學院,材料工程學院,河南省稀土復合材料國際聯合實驗室,鄭州,451191)

摘要:高工作場強、高儲能效率的電介質儲能材料對提高電力設備的性能、減小電力設備體積具有重要影響。采用混合堿法制備出立方體狀SrTiO3粉體作為陶瓷填料,采用聚乙烯吡咯烷酮(PVP)表面包覆改性對立方體狀SrTiO3粉體進行表面處理,利用流延法制備出了均勻的聚偏氟乙烯(PVDF)電介質復合薄膜。系統研究了表面PVP包覆改性立方體狀SrTiO3粉體對PVDF電介質復合薄膜介電性能和儲能密度的影響。結果表明:混合堿法制備出的SrTiO3粉體的形貌為立方體狀,尺寸為200~400nm,粒徑分布比較均勻,PVP的官能團和立方體狀SrTiO3粉體的表面建立起共價的相互作用,在立方體狀SrTiO3粉體表面形成PVP包覆層,可以有效防止立方體狀SrTiO3粉體在PVDF電介質復合薄膜中的團聚,同時PVP包覆層可以改善立方體狀SrTiO3粉體在PVDF聚合物中分散和結合情況。

PVDF電介質復合薄膜具有良好的介電性能和耐擊穿性能,PVDF電介質復合薄膜的介電常數隨著填充量的增加而增加,當立方體狀SrTiO3粉體填充量為40vol%時,電介質復合薄膜的介電常數為34.9。PVDF電介質復合薄膜的儲能密度隨著填充量的增加而先增加后降低,當表面PVP包覆改性處理立方體狀SrTiO3粉體的填充量為5vol%時,電介質復合薄膜的儲能密度達5.3J/cm3。

關鍵詞:鈦酸鍶,復合薄膜,儲能性能,介電性能,表面改性,聚偏氟乙烯(PVDF)

近年來,聚合物電容器具有充放電速度快(<1us)、工作電壓高、制備工藝簡單、成本低等優點,廣泛應用于脈沖功率系統、高功率微波設備的電子和電氣系統中,受到了人們的廣泛關注[1-7]。然而,聚合物電容器的儲能密度較小,遠遠低于鋰電池材料的儲能密度,導致目前電容器設備體積龐大,阻礙其大規模應用。目前,聚合物電介質材料具有柔軟、易加工、耐擊穿場強高的特點,但其介電常數較低。為了獲得高儲能密度電介質材料,研究人員提出采用復合的方法,將高介電常數的陶瓷粉體(如Pb(Zr,Ti)O3和BaTiO3鐵電陶瓷)加入到聚合基體中,將柔韌性好的聚合物與高介電性能的陶瓷相結合,形成聚合物/陶瓷電介質復合材料[7-10]。如Tang等人將表面改性Ba0.2Sr0.8TiO3納米線[11]、Pb(Zr,Ti)O3納米線[12]、BaTiO3納米線[13]加入到聚偏氟乙烯(PVDF)基體中,制備出高介電性能、高儲能密度、柔韌性良好的電介質復合材料。大量研究結果表明,在聚合物基體中加入高介電常數陶瓷粉體可以提高聚合物的介電性能和儲能性能。然而,在所報道的結果中,電介質復合材料在強電場工作環境中放電效率較低,損耗較大。因而在研制高儲能性能電介質復合材料實現其同時兼具高儲能密度和高放電效率仍然是一個巨大的挑戰[14,15]。

聚合物電介質復合材料放電效率低的原因有很多。主要原因是在電介質復合材料內部由于粉體和聚合物基體介電常數、電導率的顯著差異,導致在兩相界面處出現Maxwell−Wagner−Sillars(MWS)界面極化。同時加入到聚合物基體的陶瓷粉體大多都是鐵電體,它們具有高介電常數、高剩余極化和極化飽和等特性,導致放電能量受限。而SrTiO3等順電粉體具有較高的介電常數、較高的極化強度、較低的剩余極化強度和較細的P-E電滯回線,使其成為儲能陶瓷電容器的理想材料[16, 17]。目前SrTiO3順電粉體究竟如何影響復合材料的儲能密度和放電效率這方面的報道還較少。同時不同顆粒形狀的粉體具有不同的表面積和不同的長徑比,因而粉體的顆粒形狀對儲能密度有重要影響。目前,采用立方體狀SrTiO3粉體制備PVDF基電介質復合材料的研究還很少。而混合堿法是以熔融一定比例的NaOH和KOH為媒介,將TiO2、Sr(OH)2粉體混合,在常壓低溫條件下合成鈦酸鍶鋇的一種方法,此反應為液固反應,在較低溫度下進行,制備的鈦酸鍶不容易團聚,有利于得到分散性良好的、粒徑均勻的鈦酸鍶納米粉體。相比傳統的固相法和水熱法制備出的粉體具有粒度均勻,粉體形貌可控等優點。

本文采用混合堿法制備出立方體狀 SrTiO3順電粉體,利用聚乙烯吡咯烷酮(PVP) 對其進行表面改性,利用流延法制備出 SrTiO3/PVDF聚合物 柔性電介質復合薄膜,研究了PVP包覆立方體狀 SrTiO3順電粉體對PVDF電介質復合薄膜微觀結構、介電性能和儲能密度的影響。

1    實驗材料及方法
采用混合法制備立方體狀 SrTiO3粉體,將TiO2、Sr(OH)2粉體按照一定的摩爾比例進行混合,之后將NaOH和KOH按質量比51.5∶48.5進行混合,將上述兩種粉體按照質量比1:7進行混合;之后將混合后的粉體放入坩堝中,在230-260℃條件下保溫12小時,然后利用濃度6%-8%的稀硝酸洗去混合粉體中的NaOH、KOH,隨即將所得的白色粉體用去離子水清洗數次,在75℃干燥,最終獲得立方體狀SrTiO3粉體,并采用聚乙烯吡咯烷酮聚合物對其進行表面包覆改性,改善粉體與聚合物之間的界面結合,將表面改性處理后的立方體狀SrTiO3與PVDF進行復合,采用流延法制備出PVDF電介質復合薄膜,采用流延成型的方法來制備電介質復合薄膜,通過調節復合材料漿料的濃度、流延速度等條件來獲得厚度均勻的復合薄膜。復合薄膜的厚度為10µm。

采用掃描電子顯微鏡 (XL30-FEG)分析SrTiO3粉體與PVDF電介質復合薄膜的形貌;采用 透射電子顯微鏡(CM200FEG) 分析SrTiO3粉體的微觀結構;利用耐電壓試驗儀(南京恩泰)測試室溫條件下電介質復合薄膜的耐擊穿性能,耐擊穿場強測試所選用的電壓類型為直流,測試儀最高能提供50kV的電壓、漏電流為5mA,電場施加頻率200V/s,直至樣品發生擊穿,為了防止測試過程中,在空氣中發生放電現象,樣品置于硅油中測試,通常單個樣品需要測試10次左右,測試樣品的厚度為10µm左右。利用 Premier-II鐵電測試系統測試PVDF電介質復合薄膜的P-E曲線,樣品的下電極為ITO電極,上電極為2mm的金電極,其測試頻率為10Hz,環境溫度為25℃。

2    結果與討論
圖1 是立方體狀SrTiO3粉體和PVP表面包覆改性SrTiO3粉體的XRD圖譜。從XRD測試結果可以看出,混合堿法制備的SrTiO3粉體僅在2θ處對應于22°(100)、31°(110)、39°(111)、45°(200)和56°(211)處發現了衍射峰,這些衍射峰對應于鈣鈦礦結構的SrTiO3的標準峰。PVP作為有機物本身XRD衍射峰較弱,同時SrTiO3粉體表面包覆的PVP較少,因而導致PVP包裹SrTiO3粉體的XRD圖譜中沒有觀察到PVP的衍射峰。另外對PVP表面包覆改性的SrTiO3粉體未觀察到其他二次相的雜峰,表明經PVP表面包覆改性前后,粉體的晶體結構未發生變化,PVP包覆改性前后均為立方體鈣鈦礦結構。圖1插圖為混合堿法制備出的SrTiO3 粉體的SEM圖,從圖中可以看出利用混合堿法制備SrTiO3粉體具有良好的立方體形貌,制備的SrTiO3粉體的粒徑在200-400nm,粒徑分布比較均勻。
微信圖片_20230217092357

圖1 立方體狀SrTiO3粉體和聚乙烯吡咯烷酮(PVP)表面包覆改性SrTiO3粉體的XRD圖譜,插圖為混合堿法制備SrTiO3粉體的SEM

圖2為PVP、立方體狀SrTiO3粉體和PVP表面包覆改性SrTiO3粉體FT-IR吸收光譜。從圖中可以看到立方體狀SrTiO3粉體在550cm-1處有一吸收峰,此吸收峰對應于SrTiO3中Ti-O鍵振動,而PVP表面包覆改性SrTiO3粉體Ti-O鍵振動峰位出現在556cm-1處;與未使用PVP表面改性的SrTiO3粉體相比較,PVP表面包覆改性SrTiO3粉體在1434cm-1、1664cm-1處多了兩個新的吸收峰,分別對應于碳-氮鍵(C-N)的伸縮振動與碳-氧鍵(C-O)鍵彎曲振動,而對于未改性的SrTiO3粉體則沒有觀察到這種信號;峰位移動及新的吸收峰出現均歸因于PVP表面包覆改性。FT-IR吸收光譜結 果表明:PVP已經成功地包覆到了立方體狀SrTiO3粉體的表面。

微信圖片_20230217092440
圖 2 為 PVP、立方體狀 SrTiO3 粉體和 PVP 表面包覆改性SrTiO3 粉體的 FT-IR 吸收光譜

圖3(a)為表面PVP包覆改性前后SrTiO3粉體的XPS全譜掃描圖譜。從圖中可以明顯看到:表面PVP包覆改性前后SrTiO3粉體均在458 eV(Ti2p),531 eV(O1s),135eV(Sr3d)處出現了Ti、O、Sr元素的特征峰。而PVP包覆改性后SrTiO3粉體XPS光譜中在399.0 eV左右出現了N1s的新特征峰,此處的峰對應于游離態的NH2。而在未改性的SrTiO3粉體的XPS譜中并沒有觀察到此峰。此外,對比未表面改性的SrTiO3粉體XPS光譜,PVP包覆改性后的SrTiO3粉體表面的Sr3d、Sr3p、Ti2p、Ti3s、Ti3p電子的XPS特征峰明顯降低,這是由于SrTiO3粉體表面PVP包覆層的屏蔽作用導致的。圖3(b)為PVP表面改性前后的SrTiO3粉體的O1s元素的精細掃描譜線,圖中顯示有兩個峰分別為530和532.3 eV,其中530 eV的特征峰對應于SrTiO3中O原子的峰;532.3 eV的峰對應于PVP中C=O峰。未處理的SrTiO3粉體的O原子特征峰出現在530 eV,而PVP表面改性后的SrTiO3 粉體O原子特征峰位于530.2 eV,PVP表面改性后O原子特征峰位位向高結合能方向偏移;同時與未處理的SrTiO3粉體O1s元素的精細掃描譜線相比,PVP表面改性后的SrTiO3粉體位于532.3 eV 處的C=O峰強度增強,XPS測試結果間接表明表面改性后PVP包覆層已引入到了SrTiO3粉體表面。

微信圖片_20230217092529
圖 3 (a)立方體狀 SrTiO3 粉體和 PVP 表面包覆改性 SrTiO3
粉體的 XPS 全譜掃描圖譜;(b) PVP 表面改性前后的
SrTiO3 粉體的 O1s 元素的精細掃描譜線

圖4為表面PVP包覆改性后SrTiO3粉體的TEM測試結果,從圖中可以明顯看到PVP殼層均勻地包覆在立方體狀SrTiO3粉體表面,平均厚度為5nm,包覆效果良好。

第6頁-7
圖 4 表面 PVP 包覆改性后 SrTiO3 粉體的 TEM: (a)低倍數的
TEM 照片; (b)高倍數的 TEM 照片

圖5為PVP表面改性前后立方體狀SrTiO3粉體的熱失重曲線圖,未表面改性的SrTiO3粉體在20℃~1000℃的溫度變化范圍內重量損失僅為1.7%,而表面PVP包覆改性的SrTiO3粉體在20℃~1000℃的溫度變化范圍內重量損失為5.8%,這部分重量損失的差值是因為立方體狀SrTiO3粉體表面包覆的PVP高溫分解引起的。根據文獻可知SrTiO3粉體的密度約為6g/cm3,PVP層的密度約為1.144g/cm3,SEM測試結果表明混合堿法制備出的SrTiO3粉體的平均直徑為220nm,根據TG測試過程中的PVP包覆層的重量損失,我們可以估算出立方體PVP表面的平均PVP厚度約為4nm。這一估算結果與TEM測量結果相似。

微信圖片_20230217092609
圖 5 PVP 表面改性前后立方體狀 SrTiO3 粉體的熱失重曲線圖

采用掃描電鏡觀察了PVP表面包覆改性SrTiO3粉體/PVDF復合薄膜和未表面改性SrTiO3粉體/PVDF電介質復合薄膜的界面微觀形貌,結果如圖6所示。當SrTiO3粉體填充量為5vol%時,與未表面改性SrTiO3粉體/PVDF電介質復合薄膜對比,經表面PVP包覆改性后的SrTiO3 粉體在PVDF電介質復合薄膜中分布均勻,電介質復合薄膜內部SrTiO3粉體團聚和空洞等缺陷明顯減少,表面PVP包覆改性可以改善立方體狀SrTiO3粉體在PVDF聚合物基體的分散、結合情況。這可能是SrTiO3粉體表面PVP改性的結果。PVP基團作為連接PVDF鏈上F原子與SrTiO3粉體之間的橋梁,從而改善SrTiO3粉體在PVDF基體中的分散、結合情況,同時可以得到復合薄膜的厚度為10µm,厚度分布均勻。

第6頁-6
圖 6  填充量為5vol%時, PVDF 電介質復合薄膜的 SEM 圖: (a) 未表面改性 SrTiO3 粉體/PVDF 電介質復合薄膜的SEM;(b)為PVP 表面包覆改性 SrTiO3 粉體/PVDF電介質復合薄膜的 SEM 圖;  (c) PVDF 電介質復合薄膜的SEM界面圖

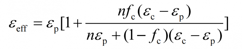
圖7(a)為PVP表面包覆改性SrTiO3粉體/PVDF電介質復合薄膜與未表面改性SrTiO3粉體/PVDF電介質復合薄膜的介電性能。從圖中可以看到,隨著PVP表面包覆改性SrTiO3粉體體積分數的增加,PVDF復合薄膜的介電常數逐漸增大,這意味著可以通過改變SrTiO3粉體的體積分數來調節PVDF電介質復合薄膜介電常數。當SrTiO3粉體體積分數為40vol%時,PVP表面包覆改性SrTiO3粉體/PVDF電介質復合薄膜的介電常數為34.9,是純PVDF電介質材料介電常數的4.4倍。PVDF電介質復合薄膜介電常數的顯著提高應歸因于SrTiO3粉體本身具有的較高介電常數。同時采用了Yamada Model、Lichtnecker Model、Maxwell- Garnett Model模型對復合薄膜介電常數測試結果進行擬合,經對比Yamada Model模型擬合結果更接近測試結果,這是因為Yamada Model模型考慮了SrTiO3 粉體形貌對電介質復合薄膜的影響。Yamada Model公式為:
微信圖片_20230217114448
其中c為填料的介電常數,p為PVDF的介電常數,fc為填料的體積分數,eff 為復合材料的介電常數,n為形狀系數。當填料的介電常數為400 ,PVDF  的介電常數為 7.9,形狀系數n取13時,模擬值和實驗測試值較吻合。

圖7(b)為PVP表面包覆改性SrTiO3粉體/PVDF電介質復合薄膜與未表面改性SrTiO3粉體 /PVDF電介質復合薄膜的介電損耗對比圖,從圖中可以看到:表面包覆改性 SrTiO3粉體/PVDF電介質復合薄膜的介電損耗要低于與未表面改性的SrTiO3 粉體/PVDF電介質復合薄膜的介電損耗,所有的表面包覆改性SrTiO3粉體/PVDF電介質復合薄膜的介電損耗均保持在較低值。當表面包覆改性SrTiO3粉體的填充量為40vol%時,PVDF復合電介質材料的介電損耗為0.056,以上結果可歸因于SrTiO3 粉體表面PVP表面包覆改性[18]。前面的測試結果均表明 PVP聚合物均勻的包覆在立方體狀 SrTiO3 表面,形成了良好的核殼結構,PVP表面包覆改性有利于立方體狀SrTiO3粉體在聚合物基體中的均勻分布。與未表面改性的立方體狀SrTiO3粉體/PVDF電介質復合薄膜相比,PVP表面包覆改性SrTiO3粉體/PVDF電介質復合薄膜內部的SrTiO3粉體團聚和空洞等缺陷明顯減少。因而相同SrTiO3粉體填充量下,PVP表面包覆改性SrTiO3粉體/PVDF電介質復合薄膜不僅具有較高的介電常數,而且具有較低的介電損耗。

微信圖片_20230217092842
圖 7 (a)不同填充量PVP表面包覆改性SrTiO3 粉體/PVDF電介質復合薄膜與未表面改性SrTiO3 粉體;/PVDF 電介質復

耐擊穿強度是影響PVDF電介質復合薄膜儲能性能的關鍵參數。圖8為不同填充量PVP表面包覆改性SrTiO3粉體/PVDF電介質復合薄膜與未表面改性SrTiO3粉體/PVDF電介質復合薄膜的耐擊穿場強圖,PVDF的耐擊穿場強為4000kV/cm,從圖中可以看到隨著 SrTiO3粉體填充量的增加電介質復合薄膜的耐擊穿場強逐漸降低,當PVP表面包覆改性SrTiO3粉體填充量為2.5vol%時,PVDF電介質復合薄膜的耐擊穿場強為3360kV/cm,而當PVP表面包覆改性SrTiO3粉體填充量為40vol%時,電介質復合薄膜的耐擊穿場強為1350kV/cm,這是因為當SrTiO3粉體加入到PVDF基體之后,與PVDF聚合物基體相比,立方體狀SrTiO3粉體具有較高的介電常數,電介質復合薄膜內部電場分布引起變化,導致PVDF基體分布更高的電場,同時隨著立方體狀SrTiO3粉體含量的增加,PVDF電介質復合薄膜內容易出現SrTiO3粉體的團聚與孔洞等缺陷,以上兩方面原因導致電介質復合薄膜的耐擊穿場強隨著SrTiO3粉體含量的增加而降低。從圖中還可以看到:當SrTiO3粉體填充量相同時,PVP表面包覆改性SrTiO3粉體/PVDF電介質復合薄膜比未表面改性SrTiO3粉體/PVDF電介質復合薄膜具有更高的耐擊穿場強。當SrTiO3粉體填充量為40vol%時,PVP表面包覆改性SrTiO3粉體/PVDF電介質復合薄膜的耐擊穿場強為1350kV/cm,而未表面改性SrTiO3粉體/PVDF電介質復合薄膜的耐擊穿場強僅為660kV/cm,這是因為PVP表明包覆改性可以改善立方體狀SrTiO3 粉體在PVDF聚合物基體中的分散結合情況,PVP聚合物上面的官能團一方面可以與立方體狀SrTiO3粉體相互作用,形成核殼結構的PVP包覆SrTiO3粉體,有效的阻礙SrTiO3粉體的團聚現象發生,同時PVP聚合物容易與PVDF發生親電-親核相互作用,進而改善SrTiO3粉體和PVDF聚合物基體之間的結合性,進而提高PVDF電介質復合薄膜的耐擊穿性能。因而PVP表面包覆改性SrTiO3粉體/PVDF電介質復合薄膜具有更優異的耐擊穿性能[19]。

微信圖片_20230217092926
圖8 不同填充量PVP表面包覆改性 SrTiO3粉體/PVDF 電 
介質復合薄膜與未表面改性SrTiO3粉體/PVDF電介質復合 
薄膜的耐擊穿場強對比圖

為了解釋這種現象,利用有限元模擬來進一步理解表面PVP包覆改性立方體狀SrTiO3粉體對PVDF電介質復合薄膜內部電場分布的影響。模型中SrTiO3粉體的分布主要依據復合薄膜SEM的截面圖。圖9為5vol%未表面改性SrTiO3粉體/PVDF電介質復合薄膜和5vol%PVP表面包覆改性 SrTiO3粉體/PVDF復合薄膜內部電場有限元模擬圖。圖中電場等勢線彎曲最大處為復合薄膜中電場強度最大區域,是復合薄膜中最先擊穿的區域。從模擬結果得知,在相同電場作用下,在5vol%未表面改性SrTiO3粉體/PVDF電介質復合薄膜最大局域性電場明顯高于5vol%PVP表面包覆改性SrTiO3 粉體/PVDF 復合薄膜。其原因歸因于PVP包覆層一方面可以有效的限制了電荷在聚合物基體的移動,另一方面PVP包覆層可以有效改善SrTiO3粉體在PVDF基體中的分散性并增加了界面的結合能力,從而改善了復合薄膜內部電場分布。

第8頁-9
圖9  PVP表面包覆改性SrTiO3 粉體/PVDF電介質復合薄膜與未表面改性 SrTiO3 粉體/PVDF電介質復合薄膜的電場強度分布有限元模擬圖。

為了進一步分析界面對電介質復合薄膜的電性能的影響,根據Lewis模型的擴散雙層模型說明復合薄膜內部電荷的分布特征,示意圖如圖10所示。在未表面改性SrTiO3粉體/PVDF電介質復合薄膜中,由于SrTiO3粉體和PVDF基體之間的介電性能、電導率性能差異較大,導致電介質復合薄膜兩相界面區域積累了較多的正負電荷。在PVP表面包覆改性SrTiO3粉體/PVDF電介質復合薄膜中,由于在SrTiO3粉體和PVDF基體之間引入了一層PVP聚合物包覆層,有效的改善了兩相的界面層,提高了電荷在兩相界面區域的遷移能力,從而改善了電荷在兩相界面處的聚集,增強界面極化;另一方面,PVP包覆層可以有效改善SrTiO3粉體在PVDF基體中的分散性并增加了界面的結合能力,而未處理的SrTiO3納米粉體填料與PVDF基體兩者表面性能差異大,從而導致SrTiO3納米粉體/PVDF復合材料中存在有較多的孔隙,而孔隙中的空氣的介電常數較小,從而導致PVP表面包覆改性SrTiO3粉體/PVDF電介質復合薄膜具有更高的介電常數、更低的介電損耗、更高的耐擊穿場強。

第8頁-8
圖 10 SrTiO3 粉體/PVDF 電介質復合薄膜內部電荷的分布示意圖

為了研究強電場作用下PVDF電介質復合薄膜儲能性能,測量了電場為1000kV/cm時,純PVDF和不同填充濃度的PVDF電介質復合薄膜的P-E曲線,如圖11所示,隨著PVP包覆改性立方體狀SrTiO3粉體的體積分數的增加,PVDF電介質復合薄膜的最大極化強度明顯增加,在1000kV/cm的電場下,當SrTiO3粉體填充量為30vol%時,PVDF電介質復合薄膜的最大極化強度達到2.9C/cm2,這是由于立方體狀SrTiO3粉體的不斷加入,提升了電介質復合薄膜內的界面極化,導致電介質復合薄膜介電性能的提升。同時,還可以觀察到PVP表面改性的立方體狀SrTiO3粉體添加到PVDF聚合物中,可以大幅改善PVDF電介質復合薄膜的最大極化強度,同時電介質復合薄膜的剩余極化強度增加很小。這一結果表明,使用SrTiO3作為順電體填料可提高電介質復合薄膜的介電常數、最大極化強度,同時降低電介質復合薄膜的剩余極化強度,最終大幅提高PVDF電介質復合薄膜的儲能密度。

微信圖片_20230217092954
圖 11 電場為1000 kV/cm時, PVDF和不同填充濃度的PVDF電介質復合薄膜的P-E曲線

電介質電容器在實際應用過程中不僅僅要求高儲能密度,同時要求具備高放電效率。通過公式計算得到了施加不同電場下PVP表面包覆改性立方體狀SrTiO3粉體/PVDF電介質復合薄膜的儲能密度、放電效率,圖12(a)為不同組分PVDF電解質薄膜最大擊穿電場下的P-E曲線圖,圖12(b)為純PVDF和不同填充濃度的PVDF電介質復合薄膜的儲能密度變化曲線,從圖中可以看到:隨著SrTiO3粉體的增加PVDF電介質復合薄膜的儲能密度先增加后降低,這是因為立方體狀SrTiO3粉體一方面可以大幅提高電介質復合薄膜的介電性能,而另一方面大量的立方體狀SrTiO3粉體導致電介質復合薄膜內氣孔、微裂紋等缺陷增多,粉體團聚,引起電介質復合薄膜的耐擊穿性能降低[20, 21]。當PVP表面包覆改性SrTiO3粉體填充量為5vol%時,PVDF電介質復合薄膜的儲能密度最大,當施加2700kV/cm的電場時,電介質復合薄膜的儲能密度為5.3J/cm3,而PVDF材料在4000kV/cm的電場作用下儲能密度僅為2.8J/cm3。結果表明,在PVDF基體中引入PVP表面包覆改性的立方體狀SrTiO3粉體可以顯著改善PVDF的儲能性能。

微信圖片_20230217093054
圖 12 (a)  不同組分PVDF電解質薄膜最大擊穿電場下的P-E曲線圖(b) PVDF和不同填充濃度表面包覆改性SrTiO3粉體/PVDF電介質復合薄膜的儲能密度變化曲線

圖13給出了SrTiO3粉體填充量為5vol%時,未處理表面改性SrTiO3粉體/PVDF電介質復合薄膜和PVP改性SrTiO3粉體/PVDF電介質復合薄膜的儲能密度和放電效率曲線關系圖。與未處理表面 改性立方體狀SrTiO3粉體/PVDF電介質復合薄膜儲能性能相比,PVP包覆改性SrTiO3粉體/PVDF電介質復合薄膜具有更高的儲能密度和放電效率。PVP包覆改性SrTiO3粉體/PVDF電介質復合薄膜在1000kV/cm電場作用下放電效率為81.7%,即使在2700kV/cm電場作用下電介質復合薄膜的放電效率依然維持在64.8%,而未處理表面改性SrTiO3粉體/PVDF電介質復合薄膜的放電效率在1000kV/cm電場作用下放電效率僅為63.2%,當在2000kV/cm電場作用下,電介質復合薄膜的放電效率降低至48.7%。此情況是因為表面改性后立方體狀SrTiO3粉體在PVDF基體中分散更均勻,電介質復合薄膜內的氣孔、微裂紋缺陷更少,材料的介電損耗更低引起的。以上結果表明:PVP包覆改性的立方體狀SrTiO3粉體可以提高電介質復合薄膜儲能密度,同時使電介質復合薄膜保持較高的放電效率。其原因在于,采用室溫順電體SrTiO3粉體具有較高的最大極化強度、較低的剩余極化強度以及P-E電滯回線所包圍的面積更小,從而可以為電介質復合薄膜提供相對較高的介電常數,同時改善電介質復合薄膜的剩余極化強度,最終提高PVDF電介質復合薄膜的儲能密度與放電效率[22,23]。

微信圖片_20230217093153
圖13 SrTiO3 粉體填充量為5vol%時,未處理表面改性SrTiO3 粉體/PVDF電介質復合薄膜和PVP改性 SrTiO3 粉體/PVDF電介質復合薄膜的儲能密度和放電效率曲線關系圖

表1為前期文獻報道鈦酸鍶鋇陶瓷/PVDF復合材料的儲能密度與本文實驗結果對比,從表中看出,PVP表面包覆改性處理可以改善PVDF電介質復合材料儲能性能,所制備的PVDF電介質復合薄膜材料儲能性能具有一定的優勢。
 
為了研究頻率對PVP改性SrTiO3粉體/PVDF電介質復合薄膜儲能特性的影響,測試了室溫條件下10Hz和100Hz兩個頻率5vol%PVP改性SrTiO3粉體/PVDF電介質復合薄膜的P-E曲線,并計算了其儲能性能。圖14為不同測試頻率下PVDF電介質復合薄膜的P-E曲線。可以看出,外加電場為2000kV/cm時,5vol%PVP改性SrTiO3粉體/PVDF電介質復合薄膜在10Hz和100Hz測試頻率下P-E回線均呈現為細長狀,頻率對PVDF電介質復合薄膜的極化強度幾乎沒有影響,經計算外加電場為2000kV/cm時,5vol% PVP改性SrTiO3粉體/PVDF電介質復合薄膜的儲能密度為3.43J/cm3。

微信圖片_20230217093214
圖14  5vol% PVP 改性SrTiO3 粉體/PVDF 電介質復合薄膜在不同測試頻率下的P-E曲線

3    結論
利用混合堿法制備了立方體狀SrTiO3粉體,采用聚合物聚乙烯吡咯烷酮(PVP)對其進行表面包覆改性,結合流延成型工藝制備出聚偏氟乙烯(PVDF)電介質柔性復合薄膜。系統研究了PVP表面包覆改性SrTiO3粉體對PVDF電介質復合薄膜介電性能和儲能密度的影響。測試結果表明:

(1)制備出的SrTiO3粉體的形貌為立方體狀,尺寸為200-400nm,粒徑分布均勻,經表面PVP包覆改性后的SrTiO3粉體在PVDF電介質復合薄膜中分布均勻,表面PVP包覆改性可以改善立方體狀SrTiO3粉體在PVDF聚合物基體的分散、結合情況。

(2)PVDF電介質復合薄膜的介電常數隨著表面改性的立方體狀SrTiO3粉體含量的增高而不斷增高,當立方體狀SrTiO3填充量為40vol%時,電介質復合薄膜的介電常數為34.9。表面PVP聚合物包覆改性處理的SrTiO3粉體填充的PVDF電介質復合薄膜表現出更低的介電損耗和更高的擊穿性能,當PVP聚合物包覆改性SrTiO3粉體含量為5vol%時,PVDF電介質復合薄膜達到最大儲能密度5.3J/cm3。PVDF電介質復合薄膜的介電性能、儲能性能的改善可歸結于SrTiO3粉體PVP表面包覆改性與采用了室溫順電相粉體的協同作用。研究結果為利用表面聚合物包覆改性陶瓷粉體開發高性能儲能陶瓷-聚合物電介質復合薄膜提供了一條途徑。

參考文獻:
[1] DING Y C, WU Q, ZHAO D, et al. Flexible PI/BaTiO3 dielectric  nanocomposite  fabricated  by  combining electrospinning and electrospraying[J], European Polymer Journal, 2013, 49 (9): 2567-2571
[2] HAYASHIDA  K, MATSUOKA  Y. Highly  enhanced dielectric constants of  barium titanate-filled   polymer composites  using  polymer-grafted  carbon  nanotube matrix[J], Carbon, 2013, 60: 506-513
[3] WANG Y, ZHOU X, CHEN Q, et al. Recent development of high energy density polymers for dielectric capacitors[J], IEEE Transactions on Dielctrics and Electrical Insulation, 2020,17(4):1036-1042
[4] WEI J, JIANG D, YU W, et al. The effect of Hf doping on the dielectric and energy  storage performance of barium titanate  based  glass  ceramics[J],  Ceramics  International, 2021, 47 (8): 11581- 11586
[5]temperature dependence of spectral properties of Yb3+/Er3+ doped Sr5(PO4)3F transparent glass ceramics[J], Journal of Alloys and Compounds, 2021, 884:
[6]LIU  J,  LI M,  ZHAO Y,  et  al.  Manipulating  H-bonds  in glassy dipolar polymers as a new strategy for high energy storage capacitors with high pulse discharge efficiency[J], Journal of Materials Chemistry A, 2019, 7 (33):  19407- 19414
[7]  DUN C,  KUANG W, KEMPF N, et al. 3D Printing of Solution-Processable 2D Nanoplates and 1D Nanorods for Flexible Thermoelectrics with Ultrahigh Power Factor at Low-Medium Temperatures[J], Advanced Science, 2019, 6(23): 1901788
[8] GUO F, SHEN  X, ZHOU J, et al. Highly thermally conductive dielectric  nanocomposites  with synergistic alignments of graphene and boron nitride nanosheets[J], Advanced Functional Materials, 2020, 30 (19): 1910826
[9] CUI S, CHEN G. Enhanced up-conversion luminescence and optical thermometry  characteristics  of Er3+/Yb3+ co- doped  Sr10(PO4)6O transparent  glass-ceramics[J],  Journal of the American Ceramic Society, 2020,  103 (12): 6932- 6940
[10]  LUO S,  YU J,  YU S,  et al.  Significantly enhanced electrostatic   energy   storage   performance   of   flexible polymer  composites  by  introducing  highly  insulating- ferroelectric microhybrids as fillers[J], Advanced Energy Materials, 2019, 9 (5): 1803204
[11] TANG H X,  SODANO H A. Ultra high energy density nanocomposite  capacitors  with  fast   discharge   using Ba0.2Sr0.8TiO3  nanowires[J], Nano  Letters,  2013,  13  (4): 1373- 1379
[12]TANG  H  X,   LIN  Y R,   ANDREWS C,   et  al. Nanocomposites  with  increased  energy  density  through high aspect ratio PZT nanowires[J], Nanotechnology, 2011, 22 (1): 015702-015708
[13]ZHOU  Z,  LIN  Y R,  TANG  H  X,  et  al.  Hydrothermal growth  of  highly  textured  BaTiO3   films  composed  of nanowires[J],  Nanotechnology,  2013,  24   (9):   095602- 095607
[14]FENG  Y,  LI  W,  WANG  J,  et  al.  Core–shell  structured BaTiO3@carbon hybrid particles for polymer composites with  enhanced dielectric performance[J],   Journal   of Materials Chemistry A, 2015, 3 (40): 20313-20321
[15]  FENG  Y, LI  W, HOU Y,  et al. Enhanced  dielectric properties   of  PVDF-HFP/BaTiO3-nanowire   composites induced  by   interfacial  polarization  and  wire-shape[J], Journal of Materials Chemistry C, 2015, 3 (6): 1250- 1260
[16] HOU Y, DENG Y, WANG Y, et al. Uniform distribution of low  content  BaTiO3 nanoparticles  in  poly  (vinylidene fluoride) nanocomposite: toward high dielectric breakdown strength  and energy storage  density[J],  RSC  advances, 2015, 5 (88): 72090-72098
[17]  JIA  Q,  HUANG  X,  WANG  G,  et  al.  MoS2  nanosheet superstructures   based   polymer   Composites  for  high dielectric and electrical energy storage applications[J], The Journal of Physical Chemistry C, 2016,  120(19):  10206- 10214
[18] FANG L, WU W, HUANG X, et al. Hydrangea-like zinc oxide superstructures for ferroelectric polymer composites with   high   thermal conductivity  and   high   dielectric constant[J],  Composites  Science  And  Technology,  2015, 107: 67-74
[19] YANG K, HUANG X Y, ZHU M, et al. Combining RAFT polymerization and thiol-ene click reaction for core-shellstructured  polymer@BaTiO3    nanodielectrics  with  high dielectric  constant,  low  dielectric  loss,  and  high  energy storage capability[J], Acs Applied Materials & Interfaces,2014, 6 (3): 1812- 1822
[20] ZHA J W, DANG Z M, YANG T, et al. Advanced dielectric properties  of BaTiO3/polyvinylidene-fluoride nanocomposites  with  sandwich  multi-layer  structure[J],IEEE Transactions on Dielectrics And Electrical Insulation,2012, 19 (4): 1312- 1317
[21] YAO S H, YUAN J K, ZHOU T, et al. Stretch-modulated carbon   nanotube   alignment   in   ferroelectric   polymer composites: characterization of the orientation state and its influence   on   the   dielectric   properties[J],   Journal   of Physical Chemistry C, 2011, 115 (40): 20011-20017
[22]  鐘少龍, 鄭明勝,  邢照亮,等. 無機顆粒形狀對高儲能密度有機復合材料介電性能的影響[J].  復合材料學報,2020, 37(11): 2760-2768
[23]  張慧, 衡婷婷, 房正剛, 等.  高儲能陶瓷/聚偏氟乙烯復合電介質的研究進展[J]. 復合材料學報, 2021, 38(7):2107-2122
[24] KIM P, DOSS N M, TILLOTSON J P, et al. High energy density nanocomposites based on surface-modified BaTiO3 and a ferroelectric polymer[J], Acs  Nano,  2009,  3 (9):2581-2592
[25] YU K, WANG H, ZHOU Y C, et al. Enhanced dielectric properties of   BaTiO3/poly(vinylidene fluoride) nanocomposites for energy storage applications[J], Journal of Applied Physics, 2013, 113 (3): 034105-034106
[26]  王璐,  孔文杰,  羅行, 等.  BaTiO3納米線的制備及其復合物介電和儲能性能研究[J],  無機材料學報, 2018,  33(10): 1059-1064