您當前的位置:首頁 » 技術 » » 技術綜述
傳統的塑料清洗裝置清洗的效率低,目前市場有自動化塑料清洗裝置,但是結構復雜,成本高,維修困難。本實用新型涉及一種用于塑料加工的清洗裝置,其中:箱體內壁兩側頂部分別設有滑槽,箱體外壁一側與支撐板固定...
來源:   發布時間:2020年04月22日 10:46:35 閱讀:8566 
【1】液壓油污染1)油中混入空氣。主要由于管接頭,液壓泵,液壓缸等密不好。表現在油箱上有氣泡;2)油中混入水分。會使油液變
來源:   發布時間:2020年04月20日 17:42:06 閱讀:9223 
在靜態試驗條件下,研究給水管網中3種常用的塑料管材,無規共聚聚丙烯管(PP-R)、硬聚氯乙烯管(U-PVC)和聚乙烯管(PE)總有機碳(T0C)的釋放情況。結果表明:3種塑料管材中,U-PVC管中T0C的析出量較小,PP-R管次之,P...
來源:   發布時間:2020年04月09日 17:39:12 閱讀:10144 
汕頭市達誠環保精機科技有限公司(下稱:達誠精機)近期推出了一種集塑料擠出片材、產品熱成型及自動檢測、包裝于一體的新一代高性能大產量擠出片材成型一體機裝備生產線。該生產線憑借高效、穩定、自動、衛生、...
來源:   發布時間:2020年03月27日 11:02:58 閱讀:11507 
隨著自動化程度的日益進步,智能機器在工業生產自動化過程中應用日益普遍,智能制造生產工藝也日益受到人們的青睞。PLC 作為電氣控制系統中的核心器件,結合機器人控制已廣泛應用于各行各業,為現代生產提供了高...
來源:   發布時間:2020年03月25日 17:23:01 閱讀:10086 
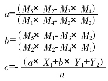
為了提高生產效率,降低生產成本,自動化設備漸漸取代了人工手動機臺。全自動 FOG(FPC On Glass)邦定機是實現柔性電路 FPC 和液晶玻璃或者觸摸屏機械連接邦定的一種自動化設備。因此,重點介紹了霍夫變換算法在...
來源:   發布時間:2020年03月24日 17:43:41 閱讀:10066 
原元康品牌的平雙機筒各類內襯套,無論是雙金屬形態的C型襯套,還是橢圓型內襯套,當年均由上海原元康公司首先在國內研發成功,并以其堅持不懈的質量追求而馳名于中國內地,進而馳名于全球終端用戶市場。盡管目前...
來源:   發布時間:2020年03月18日 09:50:49 閱讀:9469 
汽車產業的發展隨著環保法規的日益嚴格和燃 油經濟性的提高,已經將節能減排提到了首要地位。 提升汽車產業節能減排效能的環節包括設計低碳化 和制造低碳化[1],在設計方面若汽車整車質量降低 10%,燃油經濟性可提...
來源:   發布時間:2020年03月16日 09:35:45 閱讀:9526 
熱成型是近些年發展起來的一種塑料加工方式,隨著 人們生活水平的提高、生活方式的改變,越來越多的熱成型 制品出現在人們生活的方方面面。聚丙烯 (PP) 樹脂具有密 度低、無毒、易加工、抗翹曲及絕緣性好等特點,...
來源:   發布時間:2020年03月16日 09:11:34 閱讀:9139